Foram encontradas 598 questões.
Considere duas amostras, uma de tamanho n e outra de tamanho m, de valores das variáveis
aleatórias X e Y, respectivamente. Quais condições devem ser satisfeitas para que a aplicação
do teste T, na comparação das médias das duas variáveis, seja rigorosamente válida?
Provas
Questão presente nas seguintes provas
Suponha que a probabilidade de um assalto com vítima seja p=0,4. Sendo X o número de
assaltos com vítima em um total de 7 assaltos. Considerando as informações apresentadas,
qual é a probabilidade de que não haja vítima nesses 7 assaltos e qual é a média e a variância
da variável aleatória X?
Provas
Questão presente nas seguintes provas
Uma amostra aleatória de uma variável X, de tamanho n =10, resultou nos seguintes valores:
11 36 19 27 14 10 32 33 17 23.
Sendo X(r), r = 1,2, ..., n, o r-ésimo valor obtido na amostra quando ordenada, as variáveis, X(n), R = X(n) - X(1), Xmediana e X(4) assumem quais valores?
Sendo X(r), r = 1,2, ..., n, o r-ésimo valor obtido na amostra quando ordenada, as variáveis, X(n), R = X(n) - X(1), Xmediana e X(4) assumem quais valores?
Provas
Questão presente nas seguintes provas
Uma clínica tem interesse em estudar certas características de seus pacientes, cujas fichas
de cadastro estão enumeradas, consecutivamente, de 511 a 973. Destes, deve ser selecionada
uma amostra aleatória de 25 pacientes. Responda qual é o número de elementos dessa
população e qual é o melhor método de amostragem nesse caso?
Provas
Questão presente nas seguintes provas
Em um teste do tipo “verdadeiro ou falso”, envolvendo 10 questões, proposto para testar
a hipótese de que o respondente está “adivinhando” a resposta, ou seja: H0 = p=1/2 , o
examinador decide adotar a seguinte regra: “se o respondente acertar 7 ou mais questões
é porque ele não está adivinhando”. Diante da situação exposta, determine a probabilidade
de concluir que o respondente não está adivinhando quando na verdade ele está.
Dado: (1/2)10 ≅ 0,001.
Dado: (1/2)10 ≅ 0,001.
Provas
Questão presente nas seguintes provas
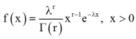
Sendo ( X1,. X2, ..., Xn) uma amostra de uma variável aleatória com distribuição de
probabilidade Gama com parâmetros λ e r, é correto afirmar que a função de máxima
verossimilhança com base nessa amostra é
Provas
Questão presente nas seguintes provas
Para uma amostra aleatória simples de tamanho n de uma variável aleatória com distribuição
exponencial com parâmetro λ , o estimador de máxima verossimilhança de é
Provas
Questão presente nas seguintes provas
- Estatística InferencialVariáveis AleatóriasVariável Aleatória Discreta
- Estatística InferencialVariáveis AleatóriasVariável Aleatória Contínua
- Probabilidades
Seja X uma variável aleatória que representa o tempo gasto (minutos) em uma conversa
telefônica em uma certa repartição pública, em minutos. Assim definida, a variável aleatória X
assume valores maiores ou iguais a zero e segue uma distribuição exponencial de parâmetro
λ. Qual é a função de distribuição acumulada F(x)?
Provas
Questão presente nas seguintes provas
Sabemos que uma variável aleatória que conta o número de sujeitos em uma fila de espera
segue uma distribuição de Poisson. Suponha que o número de sujeitos que se dirige a um
balcão de uma repartição pública, para receber informações entre 12 e 13 horas da tarde, é
uma variável aleatória com distribuição de Poisson e com parâmetro 3. Suponha, também,
que o número de sujeitos que se dirige ao referido balcão entre 13 e 14 horas é também uma
variável aleatória de Poisson com parâmetro 5. Admita que essas variáveis aleatórias sejam
independentes.
Qual é a probabilidade de que mais de 5 clientes se dirijam ao guichê entre 12 e 14 horas da
tarde?
Provas
Questão presente nas seguintes provas
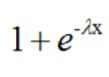
Considere uma amostra aleatória X1, X2, ..., Xn proveniente de uma população N(n, 16), e um
intervalo de confiança para μ é
. Nesse caso, qual é o grau de confiança
aproximado do intervalo?
. Nesse caso, qual é o grau de confiança
aproximado do intervalo?Provas
Questão presente nas seguintes provas
Cadernos
Caderno Container