Foram encontradas 598 questões.
X . Nesse caso, se E(X) = μ e Var (X) = σ² a média e
o desvio padrão de G, são, respectivamente:Provas
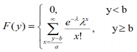
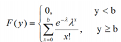
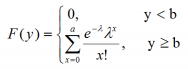
Portanto a função de distribuição acumulada de Y = aX + b , sendo a e b constantes, é dada por
Provas
Nesse caso, a função de densidade condicional de Y dado X éProvas
Nesse caso, a média da variável aleatória X é igual a Provas
Tendo em vista os valores apresentados na Tabela 1, leia com atenção as assertivas a seguir.

I. A Cidade 3 apresentou um aumento no número de homicídios em 2003 quando comparado a 2002, no entanto decresceu em 2004.
II. Na Cidade 6, nos 3 anos, os percentuais de homicídios se mantiveram próximos.
III. As 6 cidades tiveram comportamento similares nos 3 anos.
IV. A cidade que apresentou declínio de homicídios e o manteve foi a Cidade 4.
V. A única cidade que apresentou um comportamento diferenciado foi a Cidade 1.
Qual assertiva está INCORRETA?
Provas
Provas
Quartis são valores que dividem os dados de uma amostra em quatro grupos, cada um deles contendo 1/4 do tamanho total da amostra. Em relação ao assunto, informe se é verdadeiro (V) ou falso (F) o que se afirma a seguir e assinale a alternativa com a sequência correta.
( ) O primeiro quartil Q1 tem 1/4 dos dados acima dele e 3/4 dos dados abaixo dele.
( ) O terceiro quartil Q3 tem 3/4 dos dados abaixo dele e 1/4 dos dados acima dele.
( ) O quartil Q3 é a própria mediana.
( ) A distância interquartílica é dada por DIQ = Q3 – Q1.
Provas
- Teorias da AdministraçãoAbordagem NeoclássicaAPO: Administração por Objetivos
- Teorias da AdministraçãoAbordagem NeoclássicaTeoria Neoclássica da Administração
Provas
Provas
Provas
Caderno Container