Foram encontradas 1.093 questões.
Em um enlace de comunicações entre duas estações terrenas idênticas utilizando-se um satélite transparente, a relação portadora-ruído dos enlaces de subida e descida são, respectivamente, iguais a 30 dB/K e 10 dB/K. A relação portadora-ruído composta, em dB/K, é, aproximadamente,
Provas
A trajetória que um satélite descreve ao redor da Terra define a sua órbita. A órbita circular, com período igual a 24 horas, que está contida no plano do equador é classificada como
Provas
ATENÇÃO: O enunciado a seguir refere-se às duas próximas questões
Uma partícula realiza um movimento circular uniforme (MCU) no plano \( x \)\( y \). Considere que a posição da partícula pode ser descrita por \( x \) = 3 cos(3\( t \)) e \( y \) = −3 cos(3\( t \) − \( \pi \)/2), em que \( t \) é o tempo em segundos.
A Teoria da Propagação em telecomunicações estuda como os sinais eletromagnéticos se comportam ao atravessar diferentes meios, abrangendo atenuação, desvanecimento lento e desvanecimento rápido. Abaixo é representado um gráfico de Potência do Sinal (dB) versus o Logaritmo da distância com os diferentes efeitos presentes em um canal de propagação.

A seguir são apresentados os elementos que compõem esse canal de propagação.
( ) Desvanecimento lento.
( ) Desvanecimento rápido.
( ) Atenuação de propagação.
A relação correta na ordem apresentada, entre os elementos que compõem um canal de propagação e as linhas mostradas no gráfico apresentado, é:
Provas
ATENÇÃO: O enunciado a seguir refere-se às duas próximas questões
Uma partícula realiza um movimento circular uniforme (MCU) no plano \( x \)\( y \). Considere que a posição da partícula pode ser descrita por \( x \) = 3 cos(3\( t \)) e \( y \) = −3 cos(3\( t \) − \( \pi \)/2), em que \( t \) é o tempo em segundos.
As antenas desempenham um papel essencial nos sistemas de telecomunicações, sendo responsáveis pela emissão e recepção de sinais eletromagnéticos. Para descrever seu desempenho, são considerados diversos parâmetros e características, como ganho, diretividade, largura de feixe, polarização, impedância e VSWR.
Neste contexto, analise as seguintes afirmações sobre antenas:
I. Uma antena isotrópica é aquela que transmite em todas as direções com a mesma potência.
II. VSWR é uma medida da eficiência de transmissão da antena. Um VSWR baixo indica que a maior parte da energia do sinal é transmitida, enquanto um VSWR alto indica refletância, resultando em perdas de energia.
III. A diretividade refere-se à habilidade da antena de concentrar energia em uma direção específica. É relacionada ao ganho, mas considera também o padrão de radiação da antena.
Está correto o que se afirma em:
Provas
ATENÇÃO: O enunciado a seguir refere-se às duas próximas questões
Uma partícula realiza um movimento circular uniforme (MCU) no plano \( x \)\( y \). Considere que a posição da partícula pode ser descrita por \( x \) = 3 cos(3\( t \)) e \( y \) = −3 cos(3\( t \) − \( \pi \)/2), em que \( t \) é o tempo em segundos.
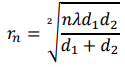
A Zona de Fresnel define uma região elipsoidal dentro da qual a maior parte da energia do sinal é contida. Para garantir a propagação do sinal em condições de espaço livre, essa região deve estar, preferencialmente, livre de obstáculos. Objetos na Zona de Fresnel, como árvores e prédios, podem causar reflexão, difração, absorção ou espalhamento do sinal, resultando em degradação ou perda completa. Para maximizar o desempenho de um link wireless, é necessário que pelo menos 60% da primeira Zona de Fresnel esteja desobstruído.
Foi definido que ambas as antenas seriam instaladas à mesma altura, a uma distância de 100 metros, e que o sistema operaria com um sinal de comprimento de onda é de 4m. No meio do percurso entre as duas antenas, há um conjunto de árvores com 15 metros de altura. O raio da n-ésima Zona de Fresnel (em metros) é dado pela fórmula:

em que:
n = n-ésima Zona de Fresnel.
λ = comprimento de onda do transmissor.
d1 = distância do ponto considerado até o transmissor.
d2 = distância do ponto considerado até o receptor.
A menor altura que as antenas devem ter para garantir que ao menos 60% do raio da primeira Zona de Fresnel estejam livres de qualquer obstrução é de:
Provas
No contexto das comunicações sem fio, é fundamental assegurar que o sinal transmitido seja adequadamente recebido, especialmente quando se utilizam antenas direcionais.
Considere um enlace de comunicações operando na frequência central de 1 GHz, com antenas direcionais apresentando um ganho de 6 dBi cada uma e separadas por uma distância de 100 metros. A potência mínima requerida no receptor é de -30 dBm.
Sabe-se que a equação da atenuação no espaço livre é dada por:
\( A_{EL} = 92,40 + 20.log_{10}(F) + 20.log_{10}(D) \ (dB) \)
em que:
F = Frequência em GHz.
D = Distância em km.
A potência mínima do transmissor em dBm para garantir que a especificação no receptor seja atendida é de
Provas
A relação entre dois parâmetros B e T pode ser representada por uma reta no gráfico do tipo log-log, como mostra a figura abaixo.

A expressão matemática que melhor representa essa relação é:
Provas
Uma partícula realiza um movimento circular uniforme (MCU) no plano \( xy \). Considere que a posição da partícula pode ser descrita por \( x = 3 cos(3t) \ e \ y = −3 cos(3t − \pi/2) \), em que \( t \) é o tempo em segundos.
O movimento da partícula, em coordenadas polares \( (r, \theta) \) pode ser descrito como:
Provas
Uma partícula realiza um movimento circular uniforme (MCU) no plano \( xy \). Considere que a posição da partícula pode ser descrita por \( x = 3 cos(3t) \ e \ y = −3 cos(3t − \pi/2) \), em que \( t \) é o tempo em segundos.
O período do MCU realizado pela partícula, em segundos, é igual a
Provas
Com relação a externalidades, é incorreto afirmar que
Provas
Caderno Container