Foram encontradas 544 questões.
- Normas e LegislaçõesNBRsNBR 8.036: Programação de Sondagens de Reconhecimento dos Solos para Fundações
Em relação à obtenção de amostras indeformadas nos serviços de sondagem de um solo, analise as afirmativas a seguir.
I. A cravação dos amostradores no solo pode ser feita por meio de macaco hidráulico.
II. A retirada de amostras indeformadas é mais simples para solos não coesivos.
III. A amostragem de rochas deve ser feita por meio de sondas rotativas.
Está correto o que se afirma em
Provas
A partir dos conceitos de matemática atuarial, a seguinte notação não pode ser apresentada corretamente em nota técnica atuarial.
Provas
A figura a seguir ilustra a determinação do coeficiente de percolação de um solo, aplicando-se a lei de Darcy.

Fonte: Caputo, Homero Pinto, “Mecânica dos Solos”, vol. 1
Considerando um experimento em que h = 10cm e L = 50cm, se a velocidade real de percolação da água for de 0,02 mm/s, o coeficiente de percolação vale
Provas
O Tribunal de Contas do Estado Alfa apresentou à Assembleia Legislativa um Projeto de Lei criando a Procuradoria Jurídica da Corte de Contas.
O projeto recebeu uma emenda parlamentar, que vedava ao tribunal editar normas de regulamentação de requisitos para escolha, nomeação e posse dos seus Conselheiros, tendo sido aprovada e dado origem à Lei Estadual nº 010, que alterava a Lei Orgânica do referido Tribunal.
Considerando os fatos narrados e a jurisprudência dos tribunais superiores, é correto afirmar que a Lei nº 010 é
Provas
Uma das características físicas do solo é seu teor de umidade, que é definido como sendo a razão em percentual, medida em uma amostra de solo, entre
Provas
Mostra-se, a seguir, a sequência de atividades para elaboração de um tipo de fundação profunda:
• 1ª Fase: preparação de ponteira (bucha seca);
• 2ª Fase: cravação;
• 3ª Fase: confecção do bulbo;
• 4ª Fase: armadura;
• 5ª Fase: concretagem e retirada do bulbo.
Estas etapas caracterizam o processo de elaboração de um/uma
Provas
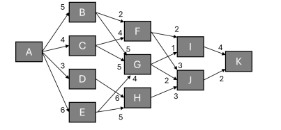
A figura a seguir mostra o diagrama PERT de uma obra. Nele, as atividades estão representadas pelas setas e possuem duração, em meses, igual ao número que se encontra mais próximo do final da respectiva seta.
Cada quadrado indica um estado de realização da obra, desde o início (estado A) até o final (estado K).

O máximo atraso que pode ser admitido na atividade que vai do estado C para o estado F, de forma a não comprometer o tempo total de realização da obra, é de
Provas
Sobre os Auditores / Conselheiros-Substitutos, analise as afirmativas a seguir.
I. São inconstitucionais normas que atribuam a emissão de pareceres opinativos aos auditores de Tribunal de Contas estadual, por incompatibilidade com a função de judicatura de contas.
II. Na ausência de Lei criando o cargo de Conselheiro-Substituto, é constitucional a norma do Tribunal de Contas que preveja o exercício das respectivas atribuições por servidor ocupante do cargo de Auditor de Controle Externo.
III. O Conselheiro-Substituto, quando em substituição a Conselheiro, terá as mesmas garantias e impedimentos, vencimentos e vantagens do titular e quando no exercício de suas atribuições funcionais, às de Juiz da mais alta entrância.
Está correto o que se afirma em
Provas
A modalidade de licitação que é utilizada para escolha de trabalho técnico, científico ou artístico, cujo critério de julgamento será o de melhor técnica ou conteúdo artístico, e para concessão de prêmio ou remuneração ao vencedor, é denominada de
Provas
Nos termos do RITCE-RR, ao auditor de controle externo, quando credenciado pelo Tribunal para desempenhar funções de fiscalização, é assegurada a seguinte prerrogativa:
Provas
Caderno Container