Foram encontradas 489 questões.
Considere a treliça isostática da figura abaixo.

O esforço axial na barra AB é
Provas
Questão presente nas seguintes provas
Considere a viga biapoiada submetida a duas cargas concentradas de 6 kN da figura abaixo.

O momento fletor máximo que ocorre na viga, em kNm, é
Provas
Questão presente nas seguintes provas
Considere a viga prismática de seção transversal retangular representada na figura abaixo.

Considerando que o material da viga seja homogêneo e elástico linear, a tensão máxima de compressão devido à flexão, em MPa, é
Provas
Questão presente nas seguintes provas
Considere a barra prismática da figura abaixo.

A barra possui 5 cm2 de área da seção transversal e está submetida a uma carga axial de compressão P = 50 kN. Se o módulo de elasticidade do material da barra for de 200 GPa, a sua deformação específica longitudinal é
Provas
Questão presente nas seguintes provas
Considere o perfil metálico, para o projeto de uma cobertura, ilustrado na figura abaixo.

O momento de inércia em relação ao eixo baricêntrico X − X, em cm4, é
Provas
Questão presente nas seguintes provas
Uma estaca maciça com diâmetro de 80 cm está sujeita a uma carga de compressão em seu topo de 3000 kN e possui o diagrama de transferência de carga para o solo especificado na figura abaixo.

É correto afirmar que, como a tensão na estaca
Provas
Questão presente nas seguintes provas
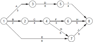
Considere o planejamento de uma construção dado pelo cronograma da figura, onde as letras representam as atividades, cujo tempo, em dias, está indicado abaixo das letras.

A obra está prevista para ter seu início no dia 10 de setembro do presente ano. A data mais tarde que a atividade A poderá ser iniciada é no dia
Provas
Questão presente nas seguintes provas
- Normas e LegislaçõesNBRsNBR 12.721: Avaliação de Custos Unitários de Construção para Incorporação Imobiliária
Segundo a NBR 12721:2006 − Avaliação de custos unitários de construção para incorporação imobiliária e outras disposições para condomínios edilícios, a área coberta e/ou descoberta de estacionamento privativo de veículo automotor, demarcada e identificada em projeto arquitetônico e vinculada à área privativa principal da unidade autônoma por direito de propriedade, sem atribuição de fração ideal específica no terreno e partes comuns do condomínio, é denominada área de vaga de garagem
Provas
Questão presente nas seguintes provas
A sigla VSA, que representa um índice resultante da avaliação funcional de pavimentos, significa
Provas
Questão presente nas seguintes provas
A legislação que institui o Sistema Nacional de Meio Ambiente − SISNAMA estabelece que
Provas
Questão presente nas seguintes provas
Cadernos
Caderno Container