Foram encontradas 1.028 questões.

O circuito elétrico acima ilustra duas cargas em paralelo, ambas ligadas em triângulo. As cargas são supridas por uma rede elétrica trifásica, que fornece tensão equilibrada e simétrica. As impedâncias Z1 e Z2 são iguais a 1 + j2 Ω e 1 - j2 Ω,respectivamente. Considerando essas informações e que j = √-1 julgue o item subsecutivo.
Caso a fase indicada por a2c2 no circuito fique aberta, a corrente Id será nula.
Provas

O circuito elétrico acima ilustra duas cargas em paralelo, ambas ligadas em triângulo. As cargas são supridas por uma rede elétrica trifásica, que fornece tensão equilibrada e simétrica. As impedâncias Z1 e Z2 são iguais a 1 + j2 Ω e 1 - j2 Ω,respectivamente. Considerando essas informações e que j = √-1 julgue o item subsecutivo.
A potência resultante suprida pela rede às cargas é somente do tipo ativa.
Provas

Julgue o próximo item a respeito dos circuitos nas figuras I e II acima, considerando que, no circuito representado na figura I, a chave, fechada por um longo tempo, seja aberta no instante t = 0.
Em relação ao circuito da figura I, a equação de laços correta para obter a corrente i(t) para t > 0 é igual a 
Provas

Julgue o próximo item a respeito dos circuitos nas figuras I e II acima, considerando que, no circuito representado na figura I, a chave, fechada por um longo tempo, seja aberta no instante t = 0.
Em relação ao circuito da figura II, caso a fonte Vs tenha, na forma fasorial, tensão
e assumindo R = 10 Ω, L = 5 H e ω = 2 rad/s, a tensão no indutor terá magnitude, em volts, igual a 10√2 e fase 90º.
Provas

Julgue o próximo item a respeito dos circuitos nas figuras I e II acima, considerando que, no circuito representado na figura I, a chave, fechada por um longo tempo, seja aberta no instante t = 0.
Se, no circuito da figura I, IS = 10 mA, R = 50 kΩ, L = 1 μH e R0 = 50 kΩ, a expressão da corrente, para t > 0, será dada por i(t) = 100e-5t mA.
Provas

Considere que, no circuito apresentado na figura acima, os potenciais nos pontos A, B, C, D, E, F e G sejam representados, respectivamente, por vA, vB, vC, vD, vE, vF e vG e que o ponto B, fixado como potencial de referência, seja igual a 0 V. Considere, ainda, que I1 e I2 sejam correntes de malhas. Com base nessas informações, julgue o item seguinte.
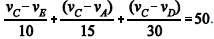
A equação nodal para o nó C pode ser expressa por 
Provas

Considere que, no circuito apresentado na figura acima, os potenciais nos pontos A, B, C, D, E, F e G sejam representados, respectivamente, por vA, vB, vC, vD, vE, vF e vG e que o ponto B, fixado como potencial de referência, seja igual a 0 V. Considere, ainda, que I1 e I2 sejam correntes de malhas. Com base nessas informações, julgue o item seguinte.
A equação referente à malha definida por ACDBA, em termos de queda de tensão, pode ser expressa corretamente por 15 I1 + 30 (I1 - I2) + 15 I1 = 0.
Provas

Considere que, no circuito apresentado na figura acima, os potenciais nos pontos A, B, C, D, E, F e G sejam representados, respectivamente, por vA, vB, vC, vD, vE, vF e vG e que o ponto B, fixado como potencial de referência, seja igual a 0 V. Considere, ainda, que I1 e I2 sejam correntes de malhas. Com base nessas informações, julgue o item seguinte.
Suponha que o curto-circuito entre os pontos G e D seja substituído por uma fonte de tensão CC, de valor igual a 60 V. Se o terminal com potencial maior for conectado ao nó G, é correto afirmar que a diferença de potencial vE - vF será igual a 110/9 V
Provas

Considere que, no circuito apresentado na figura acima, os potenciais nos pontos A, B, C, D, E, F e G sejam representados, respectivamente, por vA, vB, vC, vD, vE, vF e vG e que o ponto B, fixado como potencial de referência, seja igual a 0 V. Considere, ainda, que I1 e I2 sejam correntes de malhas. Com base nessas informações, julgue o item seguinte.
A diferença de potencial vE - vF ¬ é igual a 50/9 V
Provas

Considere que, no circuito apresentado na figura acima, os potenciais nos pontos A, B, C, D, E, F e G sejam representados, respectivamente, por vA, vB, vC, vD, vE, vF e vG e que o ponto B, fixado como potencial de referência, seja igual a 0 V. Considere, ainda, que I1 e I2 sejam correntes de malhas. Com base nessas informações, julgue o item seguinte.
Se o resistor entre os nós E e F for retirado do circuito, é correto afirmar que o potencial no nó E será igual a 25 V.
Provas
Caderno Container