Foram encontradas 1.018 questões.

Considerando o circuito com transistor bipolar representado na figura em que βCC é igual a 200 e a tensão base-emissor é igual a 0,7 V, julgue o próximo item.
O circuito apresentado é pouco sensível a grandes variações de βCC; logo ele representa uma das formas de polarização mais comumente utilizadas na prática.
Provas
Questão presente nas seguintes provas

Considerando o circuito com transistor bipolar representado na figura em que βCC é igual a 200 e a tensão base-emissor é igual a 0,7 V, julgue o próximo item.
A corrente do coletor depende do valor do βCC do transistor e da tensão base-emissor.
Provas
Questão presente nas seguintes provas
Acerca de circuitos com amplificadores operacionais ideais, julgue o item a seguir.
O circuito apresentado a seguir funciona como amplificador diferencial entre os sinais v2 e v1, uma vez que !$ v_0={\large R_2\over\large R_1}(v_2-v_1). !$

Provas
Questão presente nas seguintes provas
Acerca de circuitos com amplificadores operacionais ideais, julgue o item a seguir.
A relação entre as tensões V0 e Vi no circuito a seguir é dada por R1/R2.

Provas
Questão presente nas seguintes provas

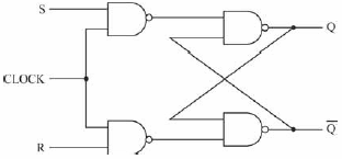
Considerando a figura apresentada, que ilustra um circuito lógico de um flip-flop RS com entrada CLOCK, julgue o item que se segue.
Caso o nível lógico da entrada clock seja 0, o estado de saída do flip-flop permanecerá inalterado, ainda que haja variações das entradas R e S.
Provas
Questão presente nas seguintes provas

Considerando a figura apresentada, que ilustra um circuito lógico de um flip-flop RS com entrada CLOCK, julgue o item que se segue.
Se o nível lógico do CLOCK for 1, então o circuito se comportará como um flip-flop JK.
Provas
Questão presente nas seguintes provas

No circuito apresentado, os elementos armazenadores de energia estão inicialmente descarregados e as impedâncias desses elementos são dadas em função da frequência complexa s, da transformada de Laplace. Com base nessas informações, julgue o item subsecutivo, acerca de quadripolos.
Os parâmetros admitâncias y11 e y12 do quadripolo são dados por !$ y_{11}={\large 1 \over\ R}+sC~e~y_{12}=-{\large 1 \over\ R} !$, respectivamente.
Provas
Questão presente nas seguintes provas

No circuito apresentado, os elementos armazenadores de energia estão inicialmente descarregados e as impedâncias desses elementos são dadas em função da frequência complexa s, da transformada de Laplace. Com base nessas informações, julgue o item subsecutivo, acerca de quadripolos.
O parâmetro impedância Z11 é igual a 1.
Provas
Questão presente nas seguintes provas

No circuito elétrico apresentado, vi(t) e v0(t) representam os sinais de entrada e de saída, respectivamente. Sabendo que no referido circuito não há energia armazenada em instantes de tempo inferiores a t = 0, que ω é a frequência angular, em rad/s, e que !$ j=\sqrt{-1} !$, julgue o item seguinte.
A relação entre as transformadas de Fourier dos sinais de saída e de entrada é dada por !$ \large 1\over\large 1+jw !$.
Provas
Questão presente nas seguintes provas

No circuito elétrico apresentado, vi(t) e v0(t) representam os sinais de entrada e de saída, respectivamente. Sabendo que no referido circuito não há energia armazenada em instantes de tempo inferiores a t = 0, que ω é a frequência angular, em rad/s, e que !$ j=\sqrt{-1} !$, julgue o item seguinte.
Se a transformada de Fourier do sinal de saída for igual a !$ \large 1\over\large (1+jw)(2+jw) !$, então o sinal de entrada será do tipo degrau unitário.
Provas
Questão presente nas seguintes provas
Cadernos
Caderno Container