Foram encontradas 2.578 questões.

Com base nessas informações, julgue os itens seguintes.
Para o IBGE, cor ou raça é uma característica declarada pelas pessoas de acordo com as seguintes opções: branca, preta, amarela, parda ou indígena.
Provas

Com base nessas informações, julgue os itens seguintes.
De acordo com o IBGE, espera-se que em 2050 o número de brasileiros com menos de 40 anos de idade seja igual ao número dos brasileiros com mais de 40 anos de idade.
Provas
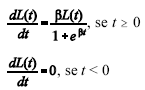
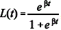
Um relatório divulgado pela Comissão de Relações
Exteriores do Senado americano em 2003 aumentou a paranóia
dos Estados Unidos da América e a preocupação de todo o
mundo com o terrorismo. Mais de 80 especialistas em segurança
nacional e não-proliferação de arsenais concluíram que a chance
de o planeta assistir a um atentado com armas de destruição em
massa (químicas, biológicas ou nucleares) segue a curva logística
, em que L(t) representa a probabilidade de o planeta
assistir a um atentado com armas de destruição em massa para um
dado instante t, em anos, sendo t ≥ 0, e β é uma constante. Nesse
modelo, t = 0 corresponde ao ano 2003, t = 1, ao ano 2004, e
t = k ≥ 0, ao ano 2003 + k. De acordo com os especialistas, a
probabilidade de o mundo assistir a um atentado com armas de
destruição em massa em 2013 — t = 10 — será igual a 0,80 —
L(10) = 0,8.
Correio Braziliense, 23/5/2005 (com adaptações).
Considere-se que cinco anos depois do instante inicial t = 0, o mundo não tenha presenciado atentado terrorista com armas de destruição em massa. Nesse caso, a probabilidade de o mundo assistir a um atentado com armas de destruição em massa em 2013 é inferior a 0,80.
Provas
- Distribuições de ProbabilidadeDistribuições ContínuasStudent
- Estatística DescritivaMedidas de Tendência CentralMediana
- Estatística DescritivaMedidas de Tendência CentralModa
Um relatório divulgado pela Comissão de Relações
Exteriores do Senado americano em 2003 aumentou a paranóia
dos Estados Unidos da América e a preocupação de todo o
mundo com o terrorismo. Mais de 80 especialistas em segurança
nacional e não-proliferação de arsenais concluíram que a chance
de o planeta assistir a um atentado com armas de destruição em
massa (químicas, biológicas ou nucleares) segue a curva logística
, em que L(t) representa a probabilidade de o planeta
assistir a um atentado com armas de destruição em massa para um
dado instante t, em anos, sendo t ≥ 0, e β é uma constante. Nesse
modelo, t = 0 corresponde ao ano 2003, t = 1, ao ano 2004, e
t = k ≥ 0, ao ano 2003 + k. De acordo com os especialistas, a
probabilidade de o mundo assistir a um atentado com armas de
destruição em massa em 2013 — t = 10 — será igual a 0,80 —
L(10) = 0,8.
Correio Braziliense, 23/5/2005 (com adaptações).
A moda e a mediana da distribuição de T são iguais a zero.
Provas
Um relatório divulgado pela Comissão de Relações
Exteriores do Senado americano em 2003 aumentou a paranóia
dos Estados Unidos da América e a preocupação de todo o
mundo com o terrorismo. Mais de 80 especialistas em segurança
nacional e não-proliferação de arsenais concluíram que a chance
de o planeta assistir a um atentado com armas de destruição em
massa (químicas, biológicas ou nucleares) segue a curva logística
, em que L(t) representa a probabilidade de o planeta
assistir a um atentado com armas de destruição em massa para um
dado instante t, em anos, sendo t ≥ 0, e β é uma constante. Nesse
modelo, t = 0 corresponde ao ano 2003, t = 1, ao ano 2004, e
t = k ≥ 0, ao ano 2003 + k. De acordo com os especialistas, a
probabilidade de o mundo assistir a um atentado com armas de
destruição em massa em 2013 — t = 10 — será igual a 0,80 —
L(10) = 0,8.
Correio Braziliense, 23/5/2005 (com adaptações).
A função de densidade de probabilidade de T é apresentada corretamente a seguir.

Provas
Um relatório divulgado pela Comissão de Relações
Exteriores do Senado americano em 2003 aumentou a paranóia
dos Estados Unidos da América e a preocupação de todo o
mundo com o terrorismo. Mais de 80 especialistas em segurança
nacional e não-proliferação de arsenais concluíram que a chance
de o planeta assistir a um atentado com armas de destruição em
massa (químicas, biológicas ou nucleares) segue a curva logística
, em que L(t) representa a probabilidade de o planeta
assistir a um atentado com armas de destruição em massa para um
dado instante t, em anos, sendo t ≥ 0, e β é uma constante. Nesse
modelo, t = 0 corresponde ao ano 2003, t = 1, ao ano 2004, e
t = k ≥ 0, ao ano 2003 + k. De acordo com os especialistas, a
probabilidade de o mundo assistir a um atentado com armas de
destruição em massa em 2013 — t = 10 — será igual a 0,80 —
L(10) = 0,8.
Correio Braziliense, 23/5/2005 (com adaptações).
T é uma variável aleatória contínua.
Provas
- Distribuições de ProbabilidadeDistribuições ContínuasUniforme Contínua
- Distribuições de ProbabilidadeDistribuições ContínuasStudent
Um relatório divulgado pela Comissão de Relações
Exteriores do Senado americano em 2003 aumentou a paranóia
dos Estados Unidos da América e a preocupação de todo o
mundo com o terrorismo. Mais de 80 especialistas em segurança
nacional e não-proliferação de arsenais concluíram que a chance
de o planeta assistir a um atentado com armas de destruição em
massa (químicas, biológicas ou nucleares) segue a curva logística
, em que L(t) representa a probabilidade de o planeta
assistir a um atentado com armas de destruição em massa para um
dado instante t, em anos, sendo t ≥ 0, e β é uma constante. Nesse
modelo, t = 0 corresponde ao ano 2003, t = 1, ao ano 2004, e
t = k ≥ 0, ao ano 2003 + k. De acordo com os especialistas, a
probabilidade de o mundo assistir a um atentado com armas de
destruição em massa em 2013 — t = 10 — será igual a 0,80 —
L(10) = 0,8.
Correio Braziliense, 23/5/2005 (com adaptações).
A distribuição de T pode ser obtida a partir da transformação
, em que U segue uma distribuição uniforme no intervalo (0,1).
Provas
Um relatório divulgado pela Comissão de Relações
Exteriores do Senado americano em 2003 aumentou a paranóia
dos Estados Unidos da América e a preocupação de todo o
mundo com o terrorismo. Mais de 80 especialistas em segurança
nacional e não-proliferação de arsenais concluíram que a chance
de o planeta assistir a um atentado com armas de destruição em
massa (químicas, biológicas ou nucleares) segue a curva logística
, em que L(t) representa a probabilidade de o planeta
assistir a um atentado com armas de destruição em massa para um
dado instante t, em anos, sendo t ≥ 0, e β é uma constante. Nesse
modelo, t = 0 corresponde ao ano 2003, t = 1, ao ano 2004, e
t = k ≥ 0, ao ano 2003 + k. De acordo com os especialistas, a
probabilidade de o mundo assistir a um atentado com armas de
destruição em massa em 2013 — t = 10 — será igual a 0,80 —
L(10) = 0,8.
Correio Braziliense, 23/5/2005 (com adaptações).
A probabilidade de o mundo assistir a um atentado com armas de destruição em massa daqui a 5 anos é superior a 0,70.
Provas
Dados do Instituto Brasileiro de Geografia e Estatística (IBGE) mostram que a participação percentual da região Norte na criação de gado registrou um crescimento muito acima do que nas outras regiões, o que preocupa os ambientalistas. Em 1990, menos de 10% do rebanho bovino nacional era da região Norte. Em 2006, esse percentual praticamente duplicou. Na região Centro-Oeste, onde pasta o maior número de cabeças de gado no Brasil, a participação no rebanho nacional passou de pouco mais de 30% para quase 35%. A figura a seguir apresenta a evolução temporal da participação de cada região no rebanho bovino brasileiro de 1990 a 2006. Os números são coletados pelo IBGE pela Pesquisa Pecuária Municipal.

Com base nas informações do texto acima e considerando que as variáveis Xt, Yt, Wt, Zt e Vt, representam, respectivamente, os percentuais do rebanho nacional que existem nas regiões Norte, Nordeste, Sudeste, Sul e Centro-Oeste, no ano t, julgue os itens subseqüentes.
Previsões para 2007 e 2008 podem ser obtidas via filtro de Kalman, formulando-se um modelo na forma de espaço de estados.
Provas
Dados do Instituto Brasileiro de Geografia e Estatística (IBGE) mostram que a participação percentual da região Norte na criação de gado registrou um crescimento muito acima do que nas outras regiões, o que preocupa os ambientalistas. Em 1990, menos de 10% do rebanho bovino nacional era da região Norte. Em 2006, esse percentual praticamente duplicou. Na região Centro-Oeste, onde pasta o maior número de cabeças de gado no Brasil, a participação no rebanho nacional passou de pouco mais de 30% para quase 35%. A figura a seguir apresenta a evolução temporal da participação de cada região no rebanho bovino brasileiro de 1990 a 2006. Os números são coletados pelo IBGE pela Pesquisa Pecuária Municipal.

Com base nas informações do texto acima e considerando que as variáveis Xt, Yt, Wt, Zt e Vt, representam, respectivamente, os percentuais do rebanho nacional que existem nas regiões Norte, Nordeste, Sudeste, Sul e Centro-Oeste, no ano t, julgue os itens subseqüentes.
O processo ARMA(p, q) multivariado é adequado para descrever o processo R1990, R1991, ... , Rt, em que o vetor Rt, apresentado a seguir, é aleatório.

Provas
Caderno Container