Foram encontradas 384 questões.
Em uma bolsa há cinco cédulas de R$ 20,00, três cédulas de R$ 50,00 e quatro cédulas de R$ 10,00. Sem olhar, você retira duas cédulas, uma a uma, sem reposição.
Avalie as assertivas a seguir.
I. A probabilidade de que a primeira cédula tenha valor igual ou maior do que a segunda está no intervalo entre 60% e 65%, inclusive.
II. A probabilidade de se obter menos de R$ 60,00 é superior a 70%.
III. A probabilidade de se obter um valor múltiplo de R$ 20,00 é inferior a 50%.
IV. Sabendo que a primeira cédula tem valor menor do que a segunda cédula retirada, a probabilidade de se obter um múltiplo de R$ 30,00 é inferior ou igual a 40%.
Assinale a alternativa que indica apena(s) as assertiva(s) CORRETA(S)
Provas
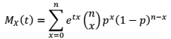
Dada a função geradora de momentos para variável aleatória binomial:

Qual das opções corresponde à mesma função geradora e qual o resultado da derivada
quando t = 0.
Provas
As técnicas de amostragens são importantes para selecionarmos os elementos que deverão ser pesquisados. Ao decidir trabalhar com amostragem probabilística, julgue as seguintes afirmações.
I. Quanto menor a amplitude do intervalo, maior deve ser o tamanho da amostra.
II. Quanto maior o número de subgrupos de interesse, maior deve ser o tamanho da amostra.
III. Quanto mais alto o nível de significância estabelecido, maior deve ser a amostra.
IV. Quanto maior a dispersão dos dados na população, maior deve ser o tamanho da amostra.
As afirmações I, II, III e IV são, respectivamente:
Provas
Sobre correlação não paramétrica, analise as seguintes assertivas.
I. A correlação de Spearman é aplicada quando as variáveis em estudo são ordinais.
II. A correlação de Kendall é aplicada quando as variáveis em estudo são ordinais e o conjunto de dados muito pequeno.
III. A correlação bisserial é aplicada quando uma das variáveis é dicotômica
IV. As correlações parciais são aplicadas às variáveis, duas a duas, desde que cada uma delas apresente correlação significativa com ao menos uma variável externa comum.
Assinale a alternativa que indica apenas a(s) assertivas CORRETA(S).
Provas
Considere as seguintes afirmações.
I. Quando a hipótese nula é falsa, a estimativa dos tratamentos-entre superestima a variância resultando em valores maiores para Fteste .
II. Na análise da variância a estatística Fteste é obtida pelo quociente 
III. Na análise da variância a estatística Fteste é obtida pelo quociente 
IV. Quando a hipótese nula é falsa, a estimativa dos tratamentos-entre tem variância menor resultando em valores menores para a estatística Fteste .
V. A regra de rejeição de Ho é definida por Fteste < Fcritico
Assinale a alternativa que indica apenas as assertivas CORRETAS.
Provas
No próximo sábado o time A e o time B disputarão a final do campeonato de futebol do município. Foi encomendada uma pesquisa, com o objetivo de conhecer a opinião do público local a respeito do resultado do jogo no tempo regulamentar e levando em conta o time predileto dos respondentes. As respostas foram organizadas no seguinte quadro:

Considere os seguintes questionamentos e seus resultados calculados com duas casas decimais e arredondamento seguindo a regra de que se o terceiro dígito for igual ou superior a 5, o segundo dígito será acrescido de uma unidade. Sendo escolhido, aleatoriamente, o formulário de um dos torcedores entrevistados, qual a probabilidade de que:
I. considere mais provável uma vitória do Time A?
II. acredite que dará empate, sabendo que é torcedor de outros times?
III. seja torcedor do Time B ou acredite que o Time B vai vencer?
Os resultados CORRETOS dos questionamentos I, II e III, respectivamente são:
Provas
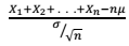
Quando nos referimos a uma sequência de variáveis aleatórias {Xi} com i ≥ 1, independentes e identicamente distribuídas, com média μ e variância σ2 , sendo estas finitas, podemos afirmar que:

Provas
O auditor de qualidade em uma indústria observou o resultado da produção por máquina, em três máquinas, durante um certo período. Para testar a hipótese de diferença no desempenho entre as máquinas, foi aplicado teste de Análise de Variância (ANOVA), ajustada aos dados com 1 fator, 3 tratamentos e tamanho de amostra 18.
Avalie as considerações a seguir.
I. Se a soma dos quadrados totais for igual a 37,73, então a soma dos quadrados associado ao fator é igual a quatro vezes o valor da soma de quadrados do resíduo.
II. O grau de liberdade total da ANOVA é de 15.
III. O valor absoluto do efeito de um dos tratamentos é igual ao valor absoluto da soma dos efeitos dos demais tratamentos.
IV. Se a soma dos quadrados totais for igual a 37,73 e a soma dos quadrados do resíduo for igual a 30,53, o coeficiente de explicação do modelo é de 19,06%.
V. Em caso de rejeição do H0 e a comprovação de existe diferença da media em, pelo menos, um dos tratamentos, o próximo passo da ANOVA é averiguar quais são as diferenças entre as médias por meio de um teste de comparações múltiplas.
É CORRETO apenas o que se afirma em:
Provas
Durante o processo produtivo uma amostra é colhida para inspeção de determinada peça fornecidas para montadoras de racks metálicos. As medidas de uma amostra foram realizadas no processo de inspeção, resultando nos seguintes dados (em mm): (Wcrítico, 0,05 =13).
0,448; 0,451; 0,453; 0,449; 0,447; 0,448; 0,453;0,452; 0,453; 0,450; 0,449 e 0,447
Utilizando-se do teste de Wilcoxon do posto sinalizado, avaliar a amostra para verificar se o diâmetro médio das peças é de 0,449 mm.
Provas
Uma amostra com dados normalmente distribuídos contém x1 =57 e x2 = 64 que correspondem, respectivamente, às
variáveis padronizadas
. Considerando estas condições analise as afirmações a seguir:
I. A média do conjunto de dados é
e o desvio padrão amostral é 
II. Os dados apresentados não estão dentro do intervalo de 1 desvio padrão.
III. A média da amostra é
e o desvio padrão amostral é 
IV. Os dados apresentados estão dentro do intervalo de 1 desvio padrão.
Assinale a alternativa que indica apenas a(s) assertiva(s) CORRETA(S).
Provas
Caderno Container