Foram encontradas 160 questões.
Considere
então
Provas
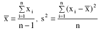
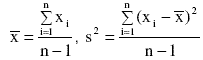
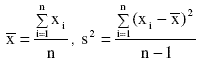
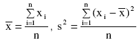
Uma amostra aleatória de tamanho n foi obtida de uma distribuição normal com média μ e variância ð2. Os estimadores de máxima verossimilhança (EMV) de μ e ð2 são respectivamente:
Provas
Sendo,
, o valor máximo que a variável y pode assumir é igual a:
Provas
No relatório de uma pesquisa é comum existir anexo e apêndice. Então, é correto afirmar que:
Provas

Então, com base no texto introdutório e nos resultados é correto afirmar que:
Provas

Então, com base no texto introdutório e nos resultados é correto afirmar que:
Provas
Uma empresa de equipamentos eletrônicos verificou que nos últimos meses ocorreu um acréscimo no número de reclamações sobre defeitos em um determinado componente produzido pela empresa. O estatístico responsável pelo Controle Estatístico do Processo, querendo eliminar a fonte dessa variabilidade indesejável no processo quantificou, segundo os tipos de defeitos detectados, a frequência de ocorrência das peças defeituosas. Esses números foram obtidos de uma amostra de itens produzidos durante uma semana de trabalho através de uma folha de verificação. Utilizando os dados obtidos pela folha de verificação, os técnicos da empresa construíram um gráfico de Pareto e identificaram o tipo de defeito que a empresa deveria solucionar em primeiro lugar. Assinale a alternativa INCORRETA sobre gráfico de Pareto.
Provas
Suponha que em um estudo sobre determinada característica quantitativa de criminosos de quatro categorias independentes, os valores observados e registrados genericamente na tabela abaixo não seguem a distribuição normal de probabilidade.

Provas
Um projeto de pesquisa deve, basicamente, ser composto das seguintes partes distintas:
Provas
Seja uma tabela de contingência 2x2 na qual um fator corresponde à ocorrência ou não ocorrência de um evento. A técnica conhecida como razão das chances ou "odds ratio" pode ser aplicada para avaliar as chances de ocorrência do evento em relação ao seu complemento. Assim, suponha hipoteticamente que em determinado estado foi feito um estudo com ex-presidiários sobre a reincidência do delito de furto e a condição de trabalho. Os dados estão na tabela adiante.

Provas
Caderno Container