Foram encontradas 70 questões.
Um instrumento utilizado para medir temperatura encontra-se a uma temperatura estacionária de 30 °C, apresentando uma constante de tempo de 0,5 min. No tempo inicial (t = 0), o instrumento é colocado em um sistema mantido a 70 °C. Após 0,5 min, a temperatura lida pelo instrumento, em °C, será de, aproximadamente,

Provas
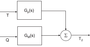
Um sistema é formado por dois tanques agitados, tanque 1 e tanque 2, com fornecimento de aquecimento ao tanque 1 com taxa Q. Um líquido entra no sistema a uma temperatura T e sai dos tanques com temperaturas T1 e T2, respectivamente. O comportamento térmico desse sistema pode ser representado na forma do diagrama de blocos apresentado abaixo.

O comportamento térmico desse sistema também pode ser descrito através da função de transferência
Provas
As figuras 1, 2 e 3 abaixo mostram os comportamentos dinâmicos da resposta de sistemas de primeira ordem e de segunda ordem.

Analise as afirmativas a seguir acerca desses sistemas:
I - A figura 1 representa um sistema de 1ª ordem onde o valor da resposta y(t) alcança 63,2% de seu valor final quando o tempo decorrido é igual à constante de tempo, e, após decorrido um tempo igual a quatro vezes a constante de tempo, a resposta, praticamente, alcança seu valor em estado-estacionário.
II - Nos sistemas de 1ª ordem (figura 1) , para efetuar a mesma variação na saída do sistema, a mudança na entrada deve ser pequena se KP for grande (sistemas muito sensíveis) ou deve ser grande se KP for pequeno, e a figura 2 representa o mesmo sistema, porém com a existência de um tempo morto.
III - Na figura 3, a representação do sistema de 2ª ordem reflete um sistema sobreamortecido onde quanto maior o fator de amortecimento mais o sistema demora a responder, sendo o valor do fator de amortecimento da curva 1 > curva 2 > curva 3.
Está correto o que se afirma em
Provas
Uma parede de um forno de área igual a 10 m2 é constituída de duas camadas: 30 cm de tijolo refratário (k = 1,5 kcal / (h.m.°C)) e 15 cm de revestimento isolante (k = 0,1 kcal / (h.m.°C)). A temperatura da superfície interna do refratário é 955 °C, e a temperatura da superfície externa do isolante é 105 °C.
Se a resistência térmica das juntas de argamassa é desprezível, o calor perdido por unidade de tempo, em kcal/h, e a temperatura da interface refratário/isolante, em °C são, respectivamente,
Provas
Um sistema termodinâmico é formado por uma substância pura. A energia interna desse sistema é expressa através da relação U = C.S3 / V, onde C é uma constante, S é a entropia, e V é o volume do sistema.
Se P é a pressão interna do sistema, uma equação de estado desse sistema é
Provas
Um mol de um gás monoatômico ideal sofre a transformação LMN reversível mostrada no diagrama PV.

A quantidade de calor, em kJ, trocada entre o gás e a vizinhança, durante essa transformação, é
Dados:
Calor específico do gás ideal monoatômico a volume constante = 3R/2
Calor específico do gás ideal monoatômico a pressão constante = 5R/2
onde R = 8,3 J.mol−1.K−1
Provas
As usinas termoelétricas e nucleares utilizam, normalmente, máquinas térmicas a vapor para girar suas turbinas. O esquema simplificado dessa máquina térmica com seus principais elementos é mostrado na figura 1. Considere que o fluido de trabalho dessa máquina opere em um ciclo de Rankine ideal ilustrado na figura 2.

Durante a etapa 3 – 4 do ciclo, a(o)
Provas
O esquema de uma máquina térmica que opera em ciclos é mostrado na figura.

Durante cada ciclo, a máquina realiza o trabalho W, absorve a quantidade de calor QH do reservatório quente e rejeita a quantidade de calor QC para o reservatório frio. As temperaturas dos reservatórios estão indicadas na figura e não variam. A tabela a seguir apresenta cinco ciclos hipotéticos e valores propostos para QH, QC e W em cada um desses ciclos.

Dentre esses ciclos, o único fisicamente possível é o
Provas
A figura a seguir ilustra uma unidade de bancada na qual correntes gasosas de He, com pressão ligeiramente superior à atmosférica, passam por dois saturadores em paralelo de forma a carrear metanol e água. Os saturadores possuem controles de temperatura independentes. As correntes se juntam e seguem para um reator onde a razão molar água/metanol deve ser 3, e a razão entre as vazões molares das correntes contendo água e metanol F2/F1 é igual a 5.

Admitindo que nos saturadores as correntes atinjam o equilíbrio líquido-vapor, a temperatura do saturador de água deverá ser de, aproximadamente,
Dado
Pressão de vapor do metanol no saturador = 0,05 atm
Provas
As reações a seguir mostram o processo de SOLVAY para a fabricação de carbonato de sódio.
1 - NH3 + H2O → NH4OH - Rendimento de 70%
2 - CO2 + H2O → H2CO3 - Rendimento de 50%
3 - 2NH4OH + H2CO3 → (NH4)2CO3 + 2H2O - Rendimento de 70%
4 - (NH4)2CO3 + CO2 + H2O → 2NH4HCO3 - Rendimento de 80%
5 - NH4HCO3 + NaC!$ \ell !$ → NaHCO3 + NH4C!$ \ell !$ - Rendimento de 75%
6 - 2NaHCO3 → Na2CO3 + CO2 + H2O - Rendimento de 90%
Para 1.000 kmol de CO2 na etapa 2, qual a quantidade, em kmol, de carbonato de sódio formado?
Provas
Caderno Container