Foram encontradas 1.320 questões.
Parlamentares alemães visitam a Transpetro para conhecer logística de biocombustível.
“o presidente Sergio Machado mostrou o quanto o Sistema Petrobras está crescendo. Com a descoberta do pré-sal, o Brasil se transformará, em 2020, no quarto maior produtor de petróleo do mundo. ‘Em 2003, a Petrobras produzia cerca de 1,5 milhão de barris. Atualmente (2011), são 2,5 milhões. A perspectiva é de que esse número aumente ainda mais’.”
Disponível em: <http://twixar.me/xpk3>. Acesso em: 07 abr. 2012. Acesso em: 07 de abr.2012. Adaptado.
Suponha que o aumento na produção anual de barris tenha sido linear, formando uma progressão aritmética.
Se o mesmo padrão for mantido por mais alguns anos, qual será, em milhões de barris, a produção da Petrobras em 2013?
“o presidente Sergio Machado mostrou o quanto o Sistema Petrobras está crescendo. Com a descoberta do pré-sal, o Brasil se transformará, em 2020, no quarto maior produtor de petróleo do mundo. ‘Em 2003, a Petrobras produzia cerca de 1,5 milhão de barris. Atualmente (2011), são 2,5 milhões. A perspectiva é de que esse número aumente ainda mais’.”
Disponível em: <http://twixar.me/xpk3>. Acesso em: 07 abr. 2012. Acesso em: 07 de abr.2012. Adaptado.
Suponha que o aumento na produção anual de barris tenha sido linear, formando uma progressão aritmética.
Se o mesmo padrão for mantido por mais alguns anos, qual será, em milhões de barris, a produção da Petrobras em 2013?
Provas
Questão presente nas seguintes provas
“A Diretoria de Terminais e Oleodutos da Transpetro opera
uma malha de 7.179 km de oleodutos. Em 2010, [...] os
28 terminais aquaviários operaram uma média mensal de
869 embarcações (navios e barcaças).”
Disponível em: Relatório anual 2010, p. 42. Acesso em: 07 abr. 2012. Adaptado.
Se a diferença entre o número médio de barcaças e o de navios operados mensalmente nos terminais aquaviários em 2010 foi 23, qual a média de barcaças operadas mensalmente?
Disponível em: Relatório anual 2010, p. 42. Acesso em: 07 abr. 2012. Adaptado.
Se a diferença entre o número médio de barcaças e o de navios operados mensalmente nos terminais aquaviários em 2010 foi 23, qual a média de barcaças operadas mensalmente?
Provas
Questão presente nas seguintes provas
Seja a progressão geométrica: 
O quarto termo dessa progressão é:

O quarto termo dessa progressão é:
Provas
Questão presente nas seguintes provas
O gráfico corresponde a uma função de 

Essa função é:


Essa função é:
Provas
Questão presente nas seguintes provas
A tabela mostra um conjunto de dados, dispostos em ordem crescente, no qual um dos dados está faltando. Os dados dispostos são relativos ao número de funcionários atualmente em férias, em cada uma das 10 unidades que compõem uma indústria.

Essa indústria criou um parâmetro numérico P para estimar o nível de articulação entre as diferentes unidades, no que se refere à determinação das férias dos funcionários: P é igual à diferença entre a média aritmética e a moda dos dados apresentados. Se a moda não existir, P será dado pela diferença entre a média aritmética e a mediana dos dados.
Sabendo-se que a mediana dos dados acima é igual a 7, quanto vale o parâmetro P?

Essa indústria criou um parâmetro numérico P para estimar o nível de articulação entre as diferentes unidades, no que se refere à determinação das férias dos funcionários: P é igual à diferença entre a média aritmética e a moda dos dados apresentados. Se a moda não existir, P será dado pela diferença entre a média aritmética e a mediana dos dados.
Sabendo-se que a mediana dos dados acima é igual a 7, quanto vale o parâmetro P?
Provas
Questão presente nas seguintes provas
Alguns dados referentes à realização de uma experiência foram perdidos, dentre os quais, a temperatura inicial de um determinado líquido. No entanto, sabe-se que a temperatura do líquido durante a experiência, em graus Celsius e t segundos após o seu início, t > 0, foi dada pela função f:
. Um engenheiro decidiu estimar a temperatura inicial do líquido por meio do limite
.
De acordo com a estimativa do engenheiro, qual teria sido a temperatura inicial do líquido, em graus Celsius?
. Um engenheiro decidiu estimar a temperatura inicial do líquido por meio do limite
. De acordo com a estimativa do engenheiro, qual teria sido a temperatura inicial do líquido, em graus Celsius?
Provas
Questão presente nas seguintes provas
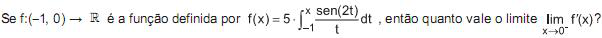
Quanto vale a integral
?
?Provas
Questão presente nas seguintes provas
A função
, definida por f(x) = xx , possui um único ponto crítico que ocorre em x igual a
, definida por f(x) = xx , possui um único ponto crítico que ocorre em x igual aProvas
Questão presente nas seguintes provas

Provas
Questão presente nas seguintes provas
Com o objetivo de identificar a necessidade da criação de uma creche, uma empresa de combustíveis realizou um levantamento entre seus funcionários, por setor e sexo, com o seguinte resultado:

Com base nas informações apresentadas, conclui-se que o número total de homens é superior ao total de mulheres em, aproximadamente,

Com base nas informações apresentadas, conclui-se que o número total de homens é superior ao total de mulheres em, aproximadamente,
Provas
Questão presente nas seguintes provas
Cadernos
Caderno Container