Foram encontradas 60 questões.
Disciplina: TI - Sistemas Operacionais
Banca: CESGRANRIO
Orgão: Transpetro
Um dos critérios que podem ser usados para comparar esses algoritmos é o tempo de turnaround, que conta o tempo
Provas
Uma consulta SQL nessa tabela foi executada e produziu como resposta uma relação com duas linhas, cujos valores são exibidos abaixo.
PROJETO DE SISTEMAS BANCO DE DADOS I
Qual consulta SQL foi executada?
Provas
Uma empresa aérea possui um sistema de informação para registrar as reservas de passagens de seus passageiros nos voos que oferece. O esquema desse banco de dados foi criado com os seguintes comandos SQL:
CREATE TABLE PASSAGEIRO (
CODIGO NUMERIC(5) NOT NULL,
NOME TEXT NOT NULL,
PRIMARY KEY (CODIGO));
CREATE TABLE VOO (
NUMERO NUMERIC(3) NOT NULL,
ORIGEM TEXT NOT NULL,
DESTINO TEXT NOT NULL,
NUM_LUGARES NUMERIC(3) NOT NULL,
PRIMARY KEY (NUMERO));
CREATE TABLE RESERVA (
NUM_VOO NUMERIC(3) NOT NULL,
CD_PASS NUMERIC(5) NOT NULL,
PRIMARY KEY (NUM_VOO, CD_PASS),
FOREIGN KEY (NUM_VOO)
REFERENCES VOO(NUMERO),
FOREIGN KEY (CD_PASS)
REFERENCES PASSAGEIRO(CODIGO));
Na Figura a seguir, são exibidos os estados atuais dessas tabelas.

Qual comando SQL será executado sem produzir erro?
Provas
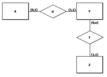
Na Figura a seguir, é mostrado um diagrama E-R.

Admita que os conjuntos a seguir façam parte de um banco de dados cujo esquema foi gerado a partir do modelo E-R acima.
X = { x1, x2, x3 }
Y = { y1, y2, y3, y4 }
Z = { z1, z2, z3 }
NÃO violam as restrições de cardinalidade presentes nas respectivas relações do modelo E-R acima os seguintes conjuntos U e T:
Provas
Qual é o objetivo da EAP na gestão de um projeto?
Provas
Nesse sentido, o gerenciamento de projeto pode ser definido como
Provas

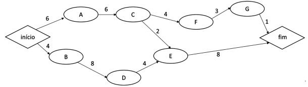
Esse diagrama apresenta as sete atividades do projeto (A, B, C, D, E, F e G), as suas dependências e os tempos das atividades em semanas.
As seguintes atividades estão no caminho crítico do projeto:
Provas
Qual a finalidade da linha de base?
Provas
Quanto tempo o carro levou para ir do ponto A ao ponto B, na primeira vez?
Provas
Considerando-se que uma caneta com tampa é escolhida de dentro do estojo, qual é a cor da caneta?
Provas
Caderno Container