Foram encontradas 564 questões.
Disciplina: TI - Redes de Computadores
Banca: CESPE / CEBRASPE
Orgão: TRF-1
A respeito de redes de computadores, julgue o item seguinte.
Diferentemente da topologia em estrela, em que cada enlace físico de transmissão conecta apenas dois dispositivos, a topologia em anel tem uma configuração multiponto, por meio da qual cada enlace físico pode conectar vários pontos.
Provas
Disciplina: TI - Redes de Computadores
Banca: CESPE / CEBRASPE
Orgão: TRF-1
A respeito de redes de computadores, julgue o item seguinte.
No padrão IEEE 802.11n, o suporte à tecnologia MIMO potencializa a velocidade de transmissão da camada física e reduz problemas decorrentes do efeito destrutivo da interferência por multicaminho.
Provas
Disciplina: TI - Redes de Computadores
Banca: CESPE / CEBRASPE
Orgão: TRF-1
A respeito de redes de computadores, julgue o item seguinte.
As bridges conectam redes locais de mesma tecnologia, estendendo o domínio de difusão e permitindo a transmissão, entre segmentos, de frames íntegros, de frames com erros e de frames cujo comprimento não esteja especificado no protocolo LAN vigente.
Provas
Disciplina: TI - Redes de Computadores
Banca: CESPE / CEBRASPE
Orgão: TRF-1
A respeito de redes de computadores, julgue o item seguinte.
No modelo de referência OSI, cabe ao nível de sessão realizar transformações, tais como compressão e criptografia, nos dados.
Provas
Disciplina: TI - Desenvolvimento de Sistemas
Banca: CESPE / CEBRASPE
Orgão: TRF-1

Considerando o trecho de código precedente, com a definição de algumas variáveis, julgue o item a seguir.
De acordo com a definição das variáveis, o trecho de código a seguir permite uma conexão ao banco de dados em questão, sem gerar nenhum tipo de erro.

Provas
Disciplina: TI - Desenvolvimento de Sistemas
Banca: CESPE / CEBRASPE
Orgão: TRF-1
- Fundamentos de ProgramaçãoGrafosGrafos: Vértices e Arestas
- Fundamentos de ProgramaçãoGrafosTeoria dos Grafos
Acerca dos conceitos de árvores e grafos, julgue o item que se segue.
A soma dos graus de todos os vértices de um grafo é sempre par.
Provas
Disciplina: TI - Desenvolvimento de Sistemas
Banca: CESPE / CEBRASPE
Orgão: TRF-1
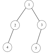
Acerca dos conceitos de árvores e grafos, julgue o item que se segue.
A árvore representada abaixo tem grau 3.

Provas
Disciplina: TI - Desenvolvimento de Sistemas
Banca: CESPE / CEBRASPE
Orgão: TRF-1
A fila é uma lista de elementos em que os itens são sempre inseridos em uma das extremidades e excluídos da outra.
Provas
Disciplina: TI - Organização e Arquitetura dos Computadores
Banca: CESPE / CEBRASPE
Orgão: TRF-1
Julgue o próximo item, relativo a conceitos de informática e ao sistema operacional Windows 8.
Em um sistema de computação, um bite é composto de oito baites e corresponde à menor unidade utilizada para representar os dados e informações.
Provas
Considerando o que dispõe a Constituição Federal de 1988 (CF) sobre direitos humanos, julgue o item que se segue.
A CF assegura aos presos respeito a sua integridade física e moral, sendo vedado, nesse sentido, o uso de algemas durante audiências nos recintos do Poder Judiciário.
Provas
Caderno Container