Foram encontradas 553 questões.
- Transformadores e Máquinas Elétricas
- Sistemas Elétricos de PotênciaAnálise de SEP
- Sistemas Elétricos de PotênciaTransmissão

A figura acima representa um diagrama unifilar de um sistema elétrico de potência, no qual:
‣ os geradores G1 e G2 são idênticos, com Xg [%] = 10, Sg = 50 MVA, Vg = 16 kV;
‣ o transformador T1, com Xd[%] = 8, St1 = 120 MVA, com tensões [kV] de 13,8 Δ /138Y;
‣ o transformador T2, com Xd[%] = 8, St2 = 100 MVA, com tensões [kV] de 138 Δ/13,8Y;
‣ a linha de transmissão com ZLT[Ω ] = 3,4+j38;
‣ a carga é composta por um motor com Xm[%] = 10, Sm = 80 MVA, Vm = 13,8 kV;
‣ a tensão de base é a tensão da linha de transmissão e a potência base = 100 MVA.
Considerando essas informações e os cálculos para a representação dos sistemas em pu, assinale a opção correta.
Provas
Questão presente nas seguintes provas

Andréa B. Bertoncel. Apostila de instalações elétricas prediais. 2008. Internet: <www.scribd.com> (com alterações).
Considerando a figura acima, que representa uma instalação elétrica de baixa tensão, assinale a opção correta.
Provas
Questão presente nas seguintes provas

No circuito ilustrado na figura acima, que mostra um experimento de laboratório, um voltímetro CA de impedância infinita é ligado a uma combinação de dois resistores, em paralelo. Nas proximidades do circuito, um transformador de energia faz que o fluxo magnético penetre no circuito. Considerando essas informações, assinale a opção correta acerca desse circuito.
Provas
Questão presente nas seguintes provas
- Proteção de Sistemas ElétricosProteção em Média Tensão
- Sistemas Elétricos de PotênciaDistribuição de Energia Elétrica
Em relação aos dispositivos envolvidos no comando e na proteção de motores e instalações elétricas, assinale a opção correta.
Provas
Questão presente nas seguintes provas
- Instalações ElétricasAterramentos
- Normas TécnicasNBRsNBR 5419: Sistema de Proteção contra Descargas Atmosféricas
No que se refere ao aterramento e ao sistema de proteção contra descargas atmosféricas (SPDA), assinale a opção correta.
Provas
Questão presente nas seguintes provas

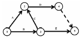
A figura acima ilustra uma rede PERT-CPM de um projeto, em que a duração das atividades A, B, C e D é de cinco dias e da atividade E de quatro dias. O cronograma foi elaborado considerando-se que as atividades devam começar o mais cedo possível. A partir dessas informações, assinale a opção correta.
Provas
Questão presente nas seguintes provas
Assinale a opção correta acerca de campos eletrostáticos.
Provas
Questão presente nas seguintes provas
- Instalações ElétricasProjeto de Iluminação (Luminotécnica)
- Normas TécnicasNBRsNBR 5410: Instalações Elétricas de Baixa Tensão
Assinale a opção correta acerca da luminotécnica e do cálculo dos condutores dos circuitos.
Provas
Questão presente nas seguintes provas
Assinale a opção correta em relação aos circuitos trifásicos.
Provas
Questão presente nas seguintes provas
- Transformadores e Máquinas ElétricasMáquinas Síncronas
- Transformadores e Máquinas ElétricasMáquina de Indução
Assinale a opção correta a respeito de motores elétricos.
Provas
Questão presente nas seguintes provas
Cadernos
Caderno Container