Foram encontradas 553 questões.

Com base na tabela acima, que apresenta um cronograma físico-financeiro anexo ao contrato de obra, assinale a opção correta.
Provas
Questão presente nas seguintes provas

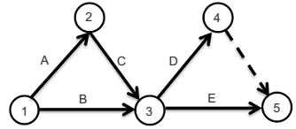
A figura acima apresenta uma rede PERT-CPM de um projeto, em que a duração das atividades A, B, C e D é de cinco dias, e da atividade E, de quatro dias. O cronograma foi elaborado considerando que as atividades devem começar o mais cedo possível. Com base nessas informações e na figura apresentada, assinale a opção correta.
Provas
Questão presente nas seguintes provas

Helvécio Lapertosa Brina. Estradas de ferro. Rio de Janeiro: LTC Editora, 1982 (com adaptações).
Com relação à figura acima, que mostra a seção transversal de uma via férrea hipotética, assinale a opção correta.
Provas
Questão presente nas seguintes provas

Com relação aos valores mostrados na figura acima, assinale a opção correspondente aos valores que, na ordem em que aparecem, mais se se aproximam dos valores das reações VA e VB.
Provas
Questão presente nas seguintes provas
Os estudos geotécnicos são essenciais para a elaboração de projeto
de implantação de rodovia. Estudos do subleito e a caracterização
de materiais que comporão a estrutura do pavimento devem constar
desses estudos. Nesse sentido, diversos ensaios são necessários
para o atendimento adequado às normas técnicas vigentes.
A respeito desse assunto, assinale a opção correta.
Provas
Questão presente nas seguintes provas
Com relação a terraplenagem, assinale a opção correta.
Provas
Questão presente nas seguintes provas
Com relação à tecnologia dos materiais de construção, assinale a
opção correta.
Provas
Questão presente nas seguintes provas
Após a conclusão da construção de um edifício, foi constatada pelos
moradores uma série de rachaduras nos pilares do prédio.
O condomínio foi orientado a contratar um perito para subsidiar as
ações contra a construtora. A partir dessa situação, assinale a opção
correta relativa à atividade de perícia de engenharia.
Provas
Questão presente nas seguintes provas
- Gerenciamento, Planejamento e Controle de Obras
- Orçamento no Planejamento e Controle de Obras na Engenharia Civil
A respeito do Sistema Nacional de Pesquisa de Custos e Índices da Construção Civil (SINAPI), cuja gestão é compartilhada entre a CAIXA e o IBGE, assinale a opção correta.
Provas
Questão presente nas seguintes provas
Com relação a tubulação de gás, assinale a opção correta.
Provas
Questão presente nas seguintes provas
Cadernos
Caderno Container