Foram encontradas 125 questões.
Considere o diagrama de máquina de estados de UML abaixo.

Analise as afirmativas a seguir, a seu respeito:
1. O elemento “estado1” corresponde a um estado sub-máquina.
2. O diagrama “diagrama estado1”, que refina “estado1”, terá exatamente um estado inicial.
3. O diagrama “diagrama estado1”, que refina “estado1”, terá exatamente um estado final.
4. O diagrama “diagrama estado1”, que refina “estado1”, terá exatamente um pseudo-estado ponto de entrada e um pseudo-estado ponto de saída.
Assinale a alternativa que indica todas as afirmativas corretas.

Analise as afirmativas a seguir, a seu respeito:
1. O elemento “estado1” corresponde a um estado sub-máquina.
2. O diagrama “diagrama estado1”, que refina “estado1”, terá exatamente um estado inicial.
3. O diagrama “diagrama estado1”, que refina “estado1”, terá exatamente um estado final.
4. O diagrama “diagrama estado1”, que refina “estado1”, terá exatamente um pseudo-estado ponto de entrada e um pseudo-estado ponto de saída.
Assinale a alternativa que indica todas as afirmativas corretas.
Provas
Questão presente nas seguintes provas
Indique se são verdadeiras ( V ) ou falsas ( F ) as seguintes afirmativas, a respeito da modelagem com diagrama de classes de UML:
( ) Uma relação de dependência entre uma interface e uma classe denota que a classe tem a responsabilidade de implementar os métodos declarados na interface.
( ) Uma relação de realização entre uma interface e uma classe denota que a classe tem a responsabilidade de implementar os métodos declarados na interface.
( ) Uma relação de herança denota que os métodos definidos em uma das classes (superclasse) passam a fazer parte da outra (subclasse).
( ) Uma relação de herança denota que os atributos definidos em uma das classes (superclasse) passam a fazer parte da outra (subclasse).
( ) A presença de métodos com assinaturas idênticas em classes relacionadas por herança caracteriza uma inconsistência.
( ) A presença de atributos com identificadores idênticos em classes relacionadas por herança caracteriza uma inconsistência.
Assinale a alternativa que indica a sequência correta, de cima para baixo.
( ) Uma relação de dependência entre uma interface e uma classe denota que a classe tem a responsabilidade de implementar os métodos declarados na interface.
( ) Uma relação de realização entre uma interface e uma classe denota que a classe tem a responsabilidade de implementar os métodos declarados na interface.
( ) Uma relação de herança denota que os métodos definidos em uma das classes (superclasse) passam a fazer parte da outra (subclasse).
( ) Uma relação de herança denota que os atributos definidos em uma das classes (superclasse) passam a fazer parte da outra (subclasse).
( ) A presença de métodos com assinaturas idênticas em classes relacionadas por herança caracteriza uma inconsistência.
( ) A presença de atributos com identificadores idênticos em classes relacionadas por herança caracteriza uma inconsistência.
Assinale a alternativa que indica a sequência correta, de cima para baixo.
Provas
Questão presente nas seguintes provas
- Engenharia de SoftwareEngenharia de Requisitos
- Engenharia de SoftwareUML: Unified Modeling LanguageDiagrama de Casos de Uso
Analise o texto abaixo:
Existe uma correspondência, ___________de ____________ , entre os casos de uso e os requisitos _____________ de um software. No entanto, não é verificada correspondência entre requisitos _____________ e casos de uso.
Assinale a alternativa que completa correta e sequencialmente as lacunas do texto.
Existe uma correspondência, ___________de ____________ , entre os casos de uso e os requisitos _____________ de um software. No entanto, não é verificada correspondência entre requisitos _____________ e casos de uso.
Assinale a alternativa que completa correta e sequencialmente as lacunas do texto.
Provas
Questão presente nas seguintes provas
Na linguagem Java, qual o maior número que uma variável do tipo “byte” pode representar?
Provas
Questão presente nas seguintes provas
Considere o seguinte conjunto de afirmativas a respeito da linguagem XML:
1. XML Schema é uma linguagem usada para expressar restrições sobre documentos XML.
2. A linguagem XSLT pode ser utilizada para transformar documentos XML em documentos HTML.
3. Não é possível definir documentos XML de modo a garantir sua autenticidade.
Assinale a alternativa que indica todas as afirmativas corretas.
1. XML Schema é uma linguagem usada para expressar restrições sobre documentos XML.
2. A linguagem XSLT pode ser utilizada para transformar documentos XML em documentos HTML.
3. Não é possível definir documentos XML de modo a garantir sua autenticidade.
Assinale a alternativa que indica todas as afirmativas corretas.
Provas
Questão presente nas seguintes provas
- Qualidade de SoftwareMétricas de SoftwareLOC: Linhas de Código
- Qualidade de SoftwareMétricas de SoftwareMétricas Orientadas a Tamanho vs. Função
Considere as seguintes afirmativas relacionadas a métricas de software:
1. A contagem de linhas de código (LOC) constitui um exemplo de métrica direta.
2. A medida de qualidade expressa em erros/KLOC constitui um exemplo de métrica orientada a tamanho (KLOC = 1000.LOC).
3. A medida de qualidade expressa em erros/KLOC constitui um exemplo de métrica indireta (KLOC = 1000.LOC).
Assinale a alternativa que indica todas as afirmativas corretas.
1. A contagem de linhas de código (LOC) constitui um exemplo de métrica direta.
2. A medida de qualidade expressa em erros/KLOC constitui um exemplo de métrica orientada a tamanho (KLOC = 1000.LOC).
3. A medida de qualidade expressa em erros/KLOC constitui um exemplo de métrica indireta (KLOC = 1000.LOC).
Assinale a alternativa que indica todas as afirmativas corretas.
Provas
Questão presente nas seguintes provas
Identifique se são verdadeiras ( V ) ou falsas ( F ) as seguintes afirmativas, com relação a ciclo de vida de software:
( ) Pode-se considerar que na etapa de projeto ocorre a modelagem do domínio do problema.
( ) Pode-se considerar que na etapa de análise ocorre a modelagem do domínio do negócio.
( ) O modelo de ciclo de vida espiral prevê análise de riscos.
( ) Os modelos de ciclo de vida espiral e incremental prevêem desenvolvimento cíclico.
Assinale a alternativa que indica a sequência correta, de cima para baixo.
( ) Pode-se considerar que na etapa de projeto ocorre a modelagem do domínio do problema.
( ) Pode-se considerar que na etapa de análise ocorre a modelagem do domínio do negócio.
( ) O modelo de ciclo de vida espiral prevê análise de riscos.
( ) Os modelos de ciclo de vida espiral e incremental prevêem desenvolvimento cíclico.
Assinale a alternativa que indica a sequência correta, de cima para baixo.
Provas
Questão presente nas seguintes provas
- Fundamentos de ProgramaçãoEstruturas de DadosEstrutura de Dados: ÁrvoreÁrvore AVL
- Fundamentos de ProgramaçãoEstruturas de DadosEstrutura de Dados: ÁrvoreÁrvore Binária
- Fundamentos de ProgramaçãoEstruturas de DadosEstrutura de Dados: ÁrvoreOperações em Árvores
Qual a altura da árvore AVL resultante da inserção dos valores 18, 90, 36, 48, 52 e 20?
Provas
Questão presente nas seguintes provas
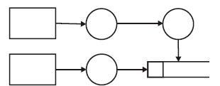
Considere o Diagrama de Fluxo de Dados (DFD) abaixo.

Assinale a alternativa que indica a quantidade correta dos seguintes elementos: entidades externas, fluxos de dados, processos e depósitos de dados, nesta ordem.

Assinale a alternativa que indica a quantidade correta dos seguintes elementos: entidades externas, fluxos de dados, processos e depósitos de dados, nesta ordem.
Provas
Questão presente nas seguintes provas
Relacione os padrões de projetos listados abaixo com suas respectivas finalidades:
Padrões de Projetos
1. Facade (fachada)
2. Decorator (decorador)
3. Memento (lembrança)
4. Proxy (procurador)
5. Observer (observador)
Finalidades
( ) Define uma dependência um para muitos entre objetos tal que, quando o estado de um objeto muda, todos os seus dependentes são notificados e atualizados automaticamente.
( ) Fornece uma interface unificada para um conjunto de objetos que constituem um subsistema. Define uma interface de mais alto nível que torna o subsistema mais fácil de usar.
( ) Sem violar o encapsulamento, captura e exterioriza o estado interno de um objeto, tal que o objeto possa ser restaurado a este estado mais tarde.
( ) Acrescenta responsabilidades adicionais a um objeto dinamicamente. Fornece uma alternativa flexível para a extensão de funcionalidade.
( ) Controla o acesso a um objeto através de outro objeto, que atua como seu substituto, ou como um envoltório.
Assinale a alternativa que indica a sequência correta, de cima para baixo.
Padrões de Projetos
1. Facade (fachada)
2. Decorator (decorador)
3. Memento (lembrança)
4. Proxy (procurador)
5. Observer (observador)
Finalidades
( ) Define uma dependência um para muitos entre objetos tal que, quando o estado de um objeto muda, todos os seus dependentes são notificados e atualizados automaticamente.
( ) Fornece uma interface unificada para um conjunto de objetos que constituem um subsistema. Define uma interface de mais alto nível que torna o subsistema mais fácil de usar.
( ) Sem violar o encapsulamento, captura e exterioriza o estado interno de um objeto, tal que o objeto possa ser restaurado a este estado mais tarde.
( ) Acrescenta responsabilidades adicionais a um objeto dinamicamente. Fornece uma alternativa flexível para a extensão de funcionalidade.
( ) Controla o acesso a um objeto através de outro objeto, que atua como seu substituto, ou como um envoltório.
Assinale a alternativa que indica a sequência correta, de cima para baixo.
Provas
Questão presente nas seguintes provas
Cadernos
Caderno Container