Foram encontradas 192 questões.
A questão se refere à Figura 3:

Provas
Questão presente nas seguintes provas
A taxa (%) de Benefícios e Despesas Indiretas (BDI)
consiste no elemento orçamentário que se adiciona ao
custo de uma obra ou serviço para a obtenção do seu
preço. Tisaka (2011), em seu livro, traz a seguinte
equação para o cálculo do BDI:
Sendo:
I = Despesas da administração central
R = Risco do empreendimento
F = Despesas financeiras do capital de giro
T = Tributos federais S = Tributo municipal
C= Despesas de comercialização
L = Lucro
Nesse contexto, assinale a alternativa incorreta.
Sendo:
I = Despesas da administração central
R = Risco do empreendimento
F = Despesas financeiras do capital de giro
T = Tributos federais S = Tributo municipal
C= Despesas de comercialização
L = Lucro
Nesse contexto, assinale a alternativa incorreta.
Provas
Questão presente nas seguintes provas
Criado em 1964, a partir da Lei Federal no 4.591, o Custo
Unitário Básico (CUB) segue servindo de importante
instrumento para diversas atividades do mercado
imobiliário nacional. Nesse cenário, assinale a alternativa
incorreta.
Provas
Questão presente nas seguintes provas
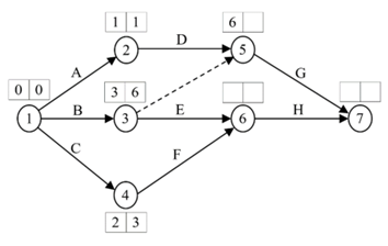
Considere a realização do projeto alpha, cujo Quadro de
Atividades, Durações e Precedências encontra-se exposto
a seguir, bem como o Diagrama PERT/CPM
correspondente, composto por sete nós. A programação
das durações no PERT/CPM está parcialmente preenchida.
Quadro de Atividades – Durações – Precedências do projeto alpha.
Diagrama PERT/CPM referente ao projeto alpha, com a programação parcialmente preenchida.
Nesse contexto e com base nas seguintes afirmativas:
I. O caminho crítico é constituído pelas atividades A, D e G.
II. O tempo total para completar o projeto alpha será de 13 semanas.
III. A atividade G só pode ser iniciada após a conclusão das atividades B e D.
IV. A atividade H tem uma Folga Total de duas semanas.
Está(ão) correta(s)
Quadro de Atividades – Durações – Precedências do projeto alpha.
Diagrama PERT/CPM referente ao projeto alpha, com a programação parcialmente preenchida.
Nesse contexto e com base nas seguintes afirmativas:
I. O caminho crítico é constituído pelas atividades A, D e G.
II. O tempo total para completar o projeto alpha será de 13 semanas.
III. A atividade G só pode ser iniciada após a conclusão das atividades B e D.
IV. A atividade H tem uma Folga Total de duas semanas.
Está(ão) correta(s)
Provas
Questão presente nas seguintes provas
Sobre a elaboração, a aprovação e a execução dos
sistemas prediais de combate a incêndio no estado do
Paraná, assinale a alternativa correta.
Provas
Questão presente nas seguintes provas
Acerca dos critérios de projeto de instalações prediais de
águas pluviais, assinale a alternativa correta.
Provas
Questão presente nas seguintes provas
Quanto ao projeto e à execução de sistemas prediais de
esgoto sanitário, assinale a alternativa correta.
Provas
Questão presente nas seguintes provas
Acerca dos critérios de projeto de reservatórios de água
fria em edificações, assinale a alterativa incorreta.
Provas
Questão presente nas seguintes provas
As manifestações patológicas em edificações são
consequências de diversos fatores, como erros na
execução, uso inadequado de materiais ou desgaste
provocado pelo tempo. Entender as origens e os indícios
dessas falhas é fundamental para assegurar a conservação
e o bom desempenho das construções ao longo do tempo.
Sobre esse assunto, assinale a alternativa correta.
Provas
Questão presente nas seguintes provas
Uma manifestação patológica comum em lajes,
caracterizada por fissuras causadas pela secagem
acelerada e pela baixa taxa de exsudação do concreto,
pode ser prevenida com a melhoria do processo de cura
nas primeiras horas após a concretagem. Essa fissura é
conhecida como
Provas
Questão presente nas seguintes provas
Cadernos
Caderno Container