Foram encontradas 1.080 questões.
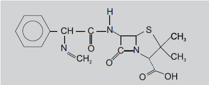
O composto foi obtido por modificação molecular, sendo um derivado de penicilina com espectro de ação estendido e administração por via oral. Observe as características da cadeia lateral do anel beta-lactâmico e assinale a alternativa correta.

Provas
A fiscal em um país grande a ponto de influenciar os investimentos internacionais a taxa de juros internacionais. A taxa de juros tem impacto em um pequeno país, causando superavit comercial.
A sequência que completa corretamente as lacunas é
Provas
A respeito de Processos Irreversíveis, marque verdadeira (V) ou falsa (F)em cada afirmação.
( ) É o processo ao término do qual o sistema e a vizinhança podem retornar aos seus estados iniciais.
( ) Desde que não seja possível que a vizinhança retorne ao seu estado original, um sistema que passou por um processo irreversível não está necessariamente impedido de voltar ao seu estado inicial.
( ) Ocorrem quando há a presença de irreversibilidades.
( ) O atrito possibilita a ocorrência desses processos.
( ) O fluxo de corrente elétrica por uma resistência é um tipo de irreversibilidade.
A sequência correta é
Provas
O PPD ou teste tuberculínico é um instrumento amplamente usado no diagnóstico de tuberculose. Em relação a esse teste, é correto afirmar:
Provas
Sobre as canções escritas por Robert Schumann, é INCORRETO afirmar:
Provas
A definição do cronograma físico-financeiro depende de um orçamento o mais detalhado possível. Para a definição de etapas da execução e sua duração, é importante o dimensionamento da força de trabalho ainda na etapa de planejamento da obra. Considere a etapa de concretagem de uma laje de 100m3 de volume que deve ser realizada em 10 horas de trabalho. A tabela que segue apresenta a composição da força de trabalho para a execução de concretagem de lajes por m3 de concreto.

Marque a alternativa que corresponde ao número de pedreiros e serventes necessários para executar o serviço no tempo previsto.
Provas
Com relação a logomarca, é INCORRETO afirmar que
Provas
- Linguagens e Suportes MidiáticosProdução AudiovisualRoteiro, Produção e Edição de Conteúdo Audiovisual e Cinematográfico
Para responder a questão, leia o texto a seguir.
Marcela, típica adolescente vivendo a década de 90, é uma garota inquieta em suas paixões, possui o coração frágil porque teve uma desilusão amorosa e outras tantas meias ilusões e se diz temorosa quanto a este novo relacionamento. “Ninguém nunca lembra do meu aniversário, sempre me esquecem no Natal; em Dia dos Namorados, já nem lembro do último presente que ganhei”. As palavras de Marcela invadem os pensamentos de César como um furacão. Em plenos 22 anos, na cidade de Santa Maria, entre uma ligação do chefe, clientes vorazes, contas a receber, contas a pagar, contas por chegar, César recria o próprio conceito da criatividade. “Mas ela é queridinha, merece, é minha musa e inspiradora”. Compõe um poema no aniversário dela, escreve uma música no Natal. “Gostou, amorzinho?”, pergunta o equilibrado. “Tu me amas mesmo?”, responde a inquieta. Com um olho arregalado e meio sério, ele repete: “Mas ela é... merece, é minha musa e inspiradora.” Sério cou o namoro e datas comemorativas já não são mais feriado. César faz um álbum de fotografias no Dia dos Namorados e no casamento, faz a maior surpresa de todas. “Gostou, docinho?”, pergunta o criativo. “Tu me amas mesmo?”, responde a incomodada. Um gole seco e uma pedra de gelo na barriga. “Mas ela é... minha... merece.” Os anos envelheceram, os dois passaram, o mundo cou mais criativo por causa de César e Marcela. Ainda se ouve falar sobre as proezas fecundas de César, um cara que já foi até equilibrado.
Assinale a alternativaemque se identifica o conflito central da narrativa e se apresenta o conceito de conflito.
Provas
A especificação para teor da matéria-prima metildopa é de 98% a 102%em base anidra. Considerando os dados:
| Massa da matéria-prima: 200 mg |
| Umidade : 10% |
| Titulante: Ácido perclórico: 0,1N |
| Volume gasto de titulante: 8,5 mL |
| Cada mL de ácido perclórico 0,1 N é |
Ao determinar o teor desse lote, pode-se concluir:
Provas
No rádio, o som é uma maneira de transportar o ouvinte para o local do acontecimento. Alguns recursos são acionados no relato dos fatos a fim de manter o interesse do ouvinte. São aspectos que garantem uma boa relação entre o rádio e o ouvinte:
I - imediatismo – o relato do que está acontecendo aqui e agora, o que denota a força do rádio.
II - amplitude – o relato do fato deve considerar a abrangência global do acontecimento, nunca local.
III - relevância – o assunto deve ser do interesse do maior número possível de pessoas, sem necessariamente ter utilidade direta em suas vidas.
IV - interesse – fatos políticos e assuntos relacionados à economia global devem ser relatados minuciosamente, explorando os bastidores e as implicações locais.
Estão corretas
Provas
Caderno Container