Foram encontradas 354 questões.

É possível medir a espessura de um fio de cabelo usando-se um feixe de laser monocromático. O desenho acima mostra um esquema do experimento realizado com um fio de cabelo e um feixe de laser cujo comprimento de onda λ é de 633 nm. A passagem do feixe pelo fio de cabelo produz, no anteparo, a uma distância h = 1.000 mm do fio, um padrão de intensidades máximas e mínimas. No anteparo, a primeira região de mínima intensidade encontra-se à distância b = 3,0 mm da posição central. A expressão λ = dsena permite determinar o diâmetro d do fio de cabelo em função do ângulo \( a \) representado na figura.
Considerando essas informações, julgue o item que se segue.
Uma imagem do fio, com ampliação de 10 vezes, pode ser formada no anteparo inserindo-se, entre o fio e o anteparo, uma lente convergente a uma distância \( \dfrac {h} {3} \) do fio de cabelo.
Provas

É possível medir a espessura de um fio de cabelo usando-se um feixe de laser monocromático. O desenho acima mostra um esquema do experimento realizado com um fio de cabelo e um feixe de laser cujo comprimento de onda λ é de 633 nm. A passagem do feixe pelo fio de cabelo produz, no anteparo, a uma distância h = 1.000 mm do fio, um padrão de intensidades máximas e mínimas. No anteparo, a primeira região de mínima intensidade encontra-se à distância b = 3,0 mm da posição central. A expressão λ = dsena permite determinar o diâmetro d do fio de cabelo em função do ângulo \( a \) representado na figura.
Considerando essas informações, julgue o item que se segue.
As informações do texto permitem concluir que:
\( tga > sena > 0,999tga. \)
Provas

É possível medir a espessura de um fio de cabelo usando-se um feixe de laser monocromático. O desenho acima mostra um esquema do experimento realizado com um fio de cabelo e um feixe de laser cujo comprimento de onda λ é de 633 nm. A passagem do feixe pelo fio de cabelo produz, no anteparo, a uma distância h = 1.000 mm do fio, um padrão de intensidades máximas e mínimas. No anteparo, a primeira região de mínima intensidade encontra-se à distância b = 3,0 mm da posição central. A expressão λ = dsena permite determinar o diâmetro d do fio de cabelo em função do ângulo \( a \) representado na figura.
Considerando essas informações, julgue o item que se segue.
A diferença entre os caminhos percorridos por dois raios de luz que se encontram no anteparo, em um ponto de máxima intensidade de luz, corresponde a um múltiplo inteiro de λ.
Provas

É possível medir a espessura de um fio de cabelo usando-se um feixe de laser monocromático. O desenho acima mostra um esquema do experimento realizado com um fio de cabelo e um feixe de laser cujo comprimento de onda λ é de 633 nm. A passagem do feixe pelo fio de cabelo produz, no anteparo, a uma distância h = 1.000 mm do fio, um padrão de intensidades máximas e mínimas. No anteparo, a primeira região de mínima intensidade encontra-se à distância b = 3,0 mm da posição central. A expressão λ = dsena permite determinar o diâmetro d do fio de cabelo em função do ângulo \( a \) representado na figura.
Considerando essas informações, julgue o item que se segue.
A superposição das amplitudes das ondas esféricas secundárias, que ocorre no anteparo, é um fenômeno conhecido como refração.
Provas

É possível medir a espessura de um fio de cabelo usando-se um feixe de laser monocromático. O desenho acima mostra um esquema do experimento realizado com um fio de cabelo e um feixe de laser cujo comprimento de onda λ é de 633 nm. A passagem do feixe pelo fio de cabelo produz, no anteparo, a uma distância h = 1.000 mm do fio, um padrão de intensidades máximas e mínimas. No anteparo, a primeira região de mínima intensidade encontra-se à distância b = 3,0 mm da posição central. A expressão λ = dsena permite determinar o diâmetro d do fio de cabelo em função do ângulo \( a \) representado na figura.
Considerando essas informações, julgue o item que se segue.
Cada ponto da frente de onda de um laser pode ser corretamente considerado como uma fonte secundária de ondas esféricas.
Provas

A utilização de uma solução de ácido de Arrhenius na lavagem de cabelo favorece a formação de interações entre as queratinas.
Provas

O peptídio formado por duas cisteínas apresenta um grupo amida.
Provas

Na ligação 3 mostrada na figura II, que é uma ligação de hidrogênio, as linhas de força partem do oxigênio em direção ao hidrogênio.
Provas

Passando-se a mão no cabelo, é possível eletrizá-lo por indução.
Provas
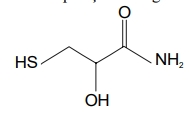
Em todas as células do nosso organismo, o aparato genético está dedicado à síntese de proteínas. Proteínas são constituídas de aminoácidos e, segundo sua topologia, podem ser classificadas como fibrosas ou globulares. Um exemplo de proteína fibrosa é a queratina, a principal proteína do cabelo humano. Um dos aminoácidos dessa proteína é a cisteína, cuja estrutura é apresentada na figura I acima. A forma que o cabelo assume depende das interações entre as suas proteínas. A figura II mostra uma representação esquemática das ligações laterais de cadeias em queratinas.
Considerando essas informações, julgue o item a seguir.
A cisteína é isômero de posição da seguinte molécula.

Provas
Caderno Container