Foram encontradas 7.311 questões.

A figura acima apresenta o caminho da corrente elétrica no corpo humano em conseqüência da tensão de toque e da tensão de passo, que se verificam, por exemplo, quando acontece uma descarga elétrica para a terra pela barra metálica. O Equipamento de Proteção Individual (EPI) capaz de proteger contra o choque elétrico em ambas as situações é(são):
Provas

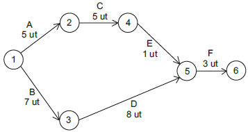
A figura acima apresenta um diagrama de rede PERT/CPM. As atividades a serem executadas são representadas por letras maiúsculas, juntamente com os seus tempos de execução (dados em unidades de tempo – ut). As atividades que, caso sofram atrasos, acarretarão também atrasos na conclusão do serviço são:
Provas
A questão refere-se às afirmativas abaixo, relacionadas ao AutoCAD.
I – O comando Xref cria um símbolo no desenho.
II – Os comandos de Xref podem sem acionados pelo menu toolbar (Reference).
III – Os objetos gráficos podem ser agrupados em uma única entidade identificável por um nome, criada pelo comando BMAKE, ficando armazenada no mesmo arquivo de desenho.
IV – O comando que cria um bloco e armazena sua definição em um arquivo de desenho para que possa ser utilizado, posteriormente, em outros desenhos, chama-se WBLOCK.
V – O WCS é um sistema de coordenadas do espaço 3D relativo ao UCS.
VI – O comando MSPACE ou MS permite acesso aos objetos que não podem ser manipulados no Paper Space.
Analisando os conjuntos I - II - III e IV - V - VI, é correto concluir, em relação às afirmativas, que:
Provas
A questão refere-se às afirmativas abaixo, relacionadas ao AutoCAD.
I – O comando Xref cria um símbolo no desenho.
II – Os comandos de Xref podem sem acionados pelo menu toolbar (Reference).
III – Os objetos gráficos podem ser agrupados em uma única entidade identificável por um nome, criada pelo comando BMAKE, ficando armazenada no mesmo arquivo de desenho.
IV – O comando que cria um bloco e armazena sua definição em um arquivo de desenho para que possa ser utilizado, posteriormente, em outros desenhos, chama-se WBLOCK.
V – O WCS é um sistema de coordenadas do espaço 3D relativo ao UCS.
VI – O comando MSPACE ou MS permite acesso aos objetos que não podem ser manipulados no Paper Space.
Entre as afirmativas I, II, IV e VI são verdadeiras apenas:
Provas

A execução de uma obra é representada pelo Diagrama de Rede PERT/CPM acima, cujas atividades a serem executadas são designadas por letras maiúsculas, juntamente com os seus tempos de execução em ut (unidades de tempo). O tempo de conclusão dessa obra, em ut, é de:
Provas
Em desenho técnico, se houver coincidência entre duas linhas, tem precedência a linha:
Provas
Os sistemas CAD não possuem a capacidade de análise espacial dos SIG.
PORQUE
Os arquivos de dados dos sistemas CAD não são topologicamente estruturados.
Analisando estas afirmações, conclui-se que:
Provas
Considere as afirmações a seguir a respeito dos programas de desenho assistido por computador (CAD).
I - AutoCAD e MicroStation são exemplos de sistemas CAD.
II - Os sistemas CAD baseiam-se em modelos de dados matriciais.
III - Os sistemas de informações geográficas e os sistemas CAD são idênticos.
IV - Atualmente, muitos sistemas CAD fornecem ferramentas para representação tridimensional.
São corretas apenas as afirmações:
Provas
Um desenho tamanho A0 é equivalente, em área, a
Provas
Observe a figura abaixo.

Seja uma tangente traçada a partir de "P" sobre um ponto "T", pertencente a uma circunferência cujo "O" é o seu centro, qual deve ser o ângulo X?
Provas
Caderno Container