Foram encontradas 8.108 questões.
A resistência equivalente do circuito abaixo vale
Provas
Um resistor possui os seguintes anéis: cinza, vermelho, vermelho e ouro. O valor nominal e tolerância desse resistor valem
Provas
Uma corrente de 1 mA atravessa um resistor de 10 kΩ. A tensão no resistor e a potência que ele dissipa valem, respectivamente,
Provas

As figuras acima apresentam o mesmo desenho em duas fases de execução na área gráfica do AutoCAD. Deseja-se passar da fase mostrada na Figura 1 para a fase da Figura 2. A única seqüência de comandos correta para execução desta tarefa é:
Provas
Considere a figura abaixo e o programa AutoCAD (versão 14 ou posterior).

Provas
Pela norma dimensional para tubos ANSI B.36, a série de um tubo corresponde à razão entre o(a):
Provas
Um conversor é definido como um instrumento cuja função é:
Provas
Em um sistema de controle, o sinal pneumático, comparado ao sinal elétrico, apresenta como vantagem a:
Provas

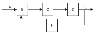
Se o diagrama de blocos da figura acima representa o controle automático de um processo, os blocos e sinais assinalados de A a F correspondem, respectivamente, a:
Provas
Com relação aos riscos de choque elétrico em seres humanos, é correto afirmar que:
Provas
Caderno Container