Foram encontradas 769 questões.

Considerando o instrumento de medição apresentado acima, julgue os itens que se seguem.
A resolução do instrumento de medição apresentado na figura acima vale 0,02 mm.
Provas

Considerando o instrumento de medição apresentado acima, julgue os itens que se seguem.
Na figura acima, as partes do instrumento indicadas por A, B e C são denominadas, respectivamente, nônio, vernier e haste.
Provas
Provas
Provas
Provas
Tendo como referência o gráfico abaixo, julgue os itens que se seguem.

I - A representação por diagrama em blocos é uma prática largamente empregada na análise de sistemas de controle.
II - O Diagrama de Bode é constituído por dois gráficos. Um deles é relacionado à magnitude da função de transferência e é traçado em função da frequência em escala log-log, e o outro é relacionado à fase e também é traçado em função da frequência, porém em escala linear-log.
III - No Diagrama de Bode, a estratégia é permitir traçar diagramas de resposta em frequência em sistemas de ordem elevada, utilizando recursos gráficos.
IV - Utiliza-se esta representação pela facilidade de visualização de todas as partes fundamentais que compõem o sistema sob análise.
O número de itens certos é igual a
Provas

Provas

Provas

Provas

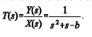
A função de transferência do sistema de tempo contínuo é expressa por 
Provas
Caderno Container