Foram encontradas 20.445 questões.
As chaves são comandadas em pares complementares — quando a inferior conduz, a superior está bloqueada — de modo a gerar uma forma de onda PWM simétrica no terminal da fase do motor.
Durante o projeto, o engenheiro responsável observou que:
As chaves inferiores podem ser facilmente acionadas, pois seus emissores estão conectados ao terra;
Já as chaves superiores flutuam em relação ao terra, pois o potencial do emissor varia continuamente entre 0 V e a tensão do barramento CC, que neste caso é de 600 V;
Logo, o driver da chave superior precisa receber, de forma segura, uma tensão de gate referida ao emissor flutuante, sem recorrer a fontes isoladas individuais.
Para resolver o problema, foi adotado um circuito em que um capacitor auxiliar é carregado enquanto a chave inferior conduz e, durante o acionamento da chave superior, esse capacitor fornece momentaneamente a tensão necessária para alimentar o driver do transistor superior, permitindo seu acionamento com isolação adequada e sem necessidade de fonte adicional.
Esse método de acionamento das chaves superiores é conhecido como
Provas
Para eliminar esse problema, o projetista adicionou, em paralelo a cada dispositivo, um circuito passivo composto por resistor e capacitor, capaz de absorver a energia excedente e limitar a taxa de variação de tensão (dv/dt), durante a comutação.
Esse tipo de proteção é conhecido como
Provas
O dispositivo é especificado pelo fabricante com os seguintes parâmetros sob as condições nominais de operação:
Considerando que o transistor IGBT atua como chave idealizada e que a operação ocorre em regime estacionário, a temperatura aproximada da junção do dispositivo é
Provas
Com base na estrutura física e no princípio de operação desses dispositivos, analise as afirmativas a seguir:
I. Tanto o IGBT quanto o MOSFET são dispositivos controlados por tensão aplicada ao gate, com elevada impedância de entrada devido à presença da camada isolante de dióxido de silício, SiO2.
II. No MOSFET, a condução é realizada apenas por portadores majoritários, elétrons, enquanto no IGBT há injeção de portadores minoritários.
III. O IGBT apresenta queda de tensão de condução praticamente constante (VCE(sat) ), enquanto o MOSFET possui comportamento resistivo, com perdas proporcionais a I 2RDS(on) .
É correto o que se afirma em
Provas
Em um sistema industrial automatizado de instrumentação e controle, deseja-se garantir o funcionamento seguro de um trocador de calor que utiliza uma bomba de recirculação (M) para manter a vazão de fluido refrigerante.
A operação dessa bomba depende de condições permissivas monitoradas por sensores digitais conectados a um controlador lógico programável (CLP), conforme descrito a seguir:
| Sinal | Descrição |
|---|---|
| S1 | Sensor de temperatura alta no trocador (1 = temperatura acima do limite de controle) |
| S2 | Sensor de nível mínimo no tanque de alimentação (1 = nível suficiente para operação) |
| S3 | Contato de emergência (1 = condição normal / 0 = emergência ativa) |
A lógica de controle foi projetada para que a bomba M ligue automaticamente sempre que a temperatura estiver alta no trocador e houver nível suficiente no tanque de alimentação, desde que não exista condição de emergência. Caso qualquer sinal assuma o estado de falha, a bomba deve desligar imediatamente, protegendo o sistema contra operação insegura.
Com base nessas condições, a expressão lógica de acionamento da bomba M é
Provas
Considerando as definições de controle, limitação e proteção em sistemas de Instrumentação e Controle (I&C), associe corretamente cada função ao seu conceito.
1. Controle 2. Limitação 3. Proteção
( ) Levar imediatamente o sistema a um estado seguro quando ocorre uma condição perigosa, como falha de sensor, sobrepressão ou emergência;
( ) Evitar que os atuadores e as variáveis ultrapassem valores físicos ou operacionais máximos;
( ) Manter a variável de processo próxima ao valor desejado, mesmo diante de perturbações.
A sequência correta, na ordem apresentada é
Provas
Para interfacear com a entrada analógica (0 a 5 V) do CLP, utiliza-se um resistor shunt de 250 Ω.
Admita comportamento linear do transmissor e componentes ideais.
No instante analisado, a temperatura indicada pelo sensor é 250 °C. A queda de tensão no resistor shunt aplicada à entrada do CLP é igual a
Provas
Os valores de R2 e R3 para que a função de transferência desejada seja
Provas
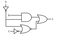
O circuito combinacional a seguir possui três entradas digitais (A, B e C) e uma saída S.

É correto afirmar que o circuito implementado é um
Provas
A respeito dos principais elementos finais de controle, analise as afirmativas abaixo:
I. O atuador é o dispositivo que recebe o sinal elétrico, pneumático ou hidráulico do controlador e gera movimento mecânico sobre o elemento final.
II. O controlador é um elemento final de controle que executa a lógica de malha, ajustando automaticamente o ponto de trabalho de processo conforme variações externas.
III. O posicionador tem a função de eliminar histerese e atrito no atuador, garantindo que a posição da válvula corresponda com exatidão ao sinal de controle.
É correto o que se afirma em
Provas
Caderno Container