Magna Concursos

Foram encontradas 13.399 questões.

3159551 Ano: 2023
Disciplina: Engenharia Química
Banca: IMAIS
Orgão: Pref. Santos-SP
Provas:

Sabe-se que os aparelhos de espectrofotometria leem sempre uma diferença entre a fonte de luz sem a amostra e a luz que a atravessa. Nesse comparativo, a grandeza física realmente mediada é a transmitância, não a absorbância. Na prática, utiliza-se mais os valores de absorbância.

Felizmente, a conversão entre as duas grandezas exige apenas o seguinte cálculo matemático:

Absorbância = log (1/Transmitância)

Foram feitas duas leituras de Transmitância (T1 e T2), de amostras distintas. As absorbâncias, nesse caso, indicam a presença de um contaminante (chumbo) na solução.

Quanto mais concentrada em íons chumbo (2+) na solução, mais intensa é sua absorbância.

Os valores encontrados para as leituras de transmitâncias, foram os listados abaixo.

T1 = 0,1

T2 = 1,0

Para expressar esses valores nas suas respectivas Absorbâncias (A1 e A2), assinale a alternativa que apresenta, respectivamente, os valores equivalentes e quais seriam as amostras contaminadas com sal de chumbo.

 

Provas

Questão presente nas seguintes provas
3159550 Ano: 2023
Disciplina: Engenharia Química
Banca: IMAIS
Orgão: Pref. Santos-SP
Provas:

A medida do pH é um controle importante para garantir a qualidade da água e permitir o funcionamento adequado das caldeiras e seus sistemas e tubulações. Portanto, se faz necessária a instalação de um sensor de pH no conjunto gerador de vapor.

Com esse objetivo, é correto afirmar que o sensor de pH deve ser instalado

 

Provas

Questão presente nas seguintes provas
3159549 Ano: 2023
Disciplina: Engenharia Química
Banca: IMAIS
Orgão: Pref. Santos-SP
Provas:

Os gases fluorocarbonetos e seus derivados (onde pode haver também outros átomos, como hidrogênio ou cloro) foram sintetizados a partir da década de 1930 pelo cientista Thomas Midgely Jr. e logo surpreenderam por sua baixa reatividade química. As ligações entre carbono e flúor são tão fortes, que esses compostos ignoram quase que completamente o ataque químico da maioria das moléculas, só reagindo com aquelas extremamente oxidantes. Essa inércia química, mesmo à quente, associada ao fato de serem inodoros e incolores, fez com que fossem usados como expansores na fabricação de polímeros orgânicos e, também, como gases propulsores de aerossóis. Outra propriedade dos fluorocarbonetos nasce da baixa interação entre as suas próprias moléculas, o que diminui seus pontos de fusão e ebulição quando comparados a moléculas de hidrocarbonetos com estruturas similares. Isso confere a elas excelentes propriedades criogênicas, o que tornou os fluorocarbonetos ideais para serem usados nos motores de refrigeração (nos ciclos de compressão, expansão, evaporação e condensação). Observando a condutividade térmica do gás Tetra-Flúor-Metano (CF4, nome comercial FREON 14), ele apresenta um valor de 4,06 (Kgás / cal / cm . K . s), tendo sido usado como gás de refrigeradores, material de isolamento térmico em janelas de vidro, propulsor de aerossóis e outras aplicações por décadas. Atualmente ele quase não é mais usado nessas aplicações, tendo sido paulatinamente substituído inicialmente por moléculas de Cloro-Fluor-Carboneto e mais recentemente essas também foram substituídas por algumas moléculas menos eficientes nas características de isolamento e refrigeração, além do que, os novos refrigerantes são muitas vezes inflamáveis, como o Isobutano.

Sobre o assunto, é correto afirmar que o CF4 perdeu seu lugar de destaque tanto na refrigeração como no isolamento térmico porque

 

Provas

Questão presente nas seguintes provas
3159548 Ano: 2023
Disciplina: Engenharia Química
Banca: IMAIS
Orgão: Pref. Santos-SP
Provas:

O pH adequado para operação da caldeira fica nas faixas ligeiramente alcalinas. Isso faz com que haja maior controle contra a corrosão, pois o pH alcalino faz surgir uma película de óxido nas superfícies dos tubos e da caldeira, o que protege o metal base da corrosão. O controle do pH envolve a dosagem de hidróxido de sódio (proteção contra a corrosão) e sais de fosfato de sódio (proteção contra incrustações). As quantidades de reposição são cuidadosamente controladas a partir de análises frequentes. Essas análises e reposições de insumos, formam a base da operação saudável de uma caldeira. Existe uma norma dedicada ao controle e manutenção de caldeiras e equipamentos correlacionados: NR 13 (Norma Regulamentadora de Segurança e Saúde no Trabalho em Caldeiras, Vasos de Pressão, Tubulações e Tanques Metálicos de Armazenamento). Muitas caldeiras têm problemas em sua operação ou mesmo tem sua vida útil reduzida por conta da superdosagem de produtos. Isso acontece quando não são feitas as análises frequentes e se completa a dosagem de insumos de maneira não calculada. Por exemplo, o excesso de sais solúveis (fosfatos, mantidos entre 30 e 50 ppm) cria altas forças iônicas, que podem forçar a alguns sais a se cristalizarem nas paredes internas da caldeira ou da tubulação, reforçando os problemas de incrustações. Também pode haver corrosão salina, corroendo as superfícies metálicas internas. Essa corrosão pode ser agravada pelas altas temperaturas e pressões de trabalho. O alcalinizante deve estar dosificado entre 200 ppm (para evitar corrosão ácida) e 700 ppm, para evitar problemas.

Assim, a respeito dos principais problemas que podem vir dessa superdosagem de alcalinizante na caldeira pode-se citar que pode causar

I. espumação na caldeira.

II. fragilização da superfície e de aço.

III. formação de depósitos de limo cáustico que diminuem a eficiência térmica do sistema.

É correto o que se afirma em

 

Provas

Questão presente nas seguintes provas
3159547 Ano: 2023
Disciplina: Engenharia Química
Banca: IMAIS
Orgão: Pref. Santos-SP
Provas:

O uso de painéis de vidro contínuos no recobrimento externo da fachada de edifícios vem se tornando uma escolha estética e técnica adequada da engenharia contemporânea. A cidade de Santos, toma um cuidado especial no seu código de edificações, (capítulo I, artigo 42, parágrafo 2º), ressaltando que “fica vedada a utilização de superfícies contínuas de vidros que apresentem efeito refletivo, espelhado ou similar nas fachadas dos prédios…” A ideia foi evitar que a reflexão solar pudesse causar riscos de incêndio, desconforto térmico ou visual, como consequência da concentração dos raios luminosos em outras construções.

Contudo, o parágrafo 2º do artigo 42 segue fazendo uma ressalva importante que pode permitir o uso de tais placas vítreas, conforme segue: excetuam-se

 

Provas

Questão presente nas seguintes provas
3159546 Ano: 2023
Disciplina: Engenharia Química
Banca: IMAIS
Orgão: Pref. Santos-SP
Provas:

A cidade de Santos tem temperaturas médias oscilando entre 19 °C e 25 °C ao longo do ano. Durante os meses de verão, entre janeiro e março, as temperaturas máximas podem atingir os 35 °C nas horas mais quentes do dia, assim como as mínimas podem ficar ao redor dos 15 °C nos meses de Inverno. Assim, os projetos das edificações na região devem ser consequentes com a estabilidade e com o conforto térmico oferecido aos ocupantes desses espaços. Por conta disso, a maioria dos projetos contemporâneos prevê o uso de vedação térmica de portas e janelas e, também, do uso de ar-condicionado climatizado em temperaturas ao redor de 23 °C. Tal vedação térmica é fundamental para o funcionamento contínuo e custo-efetivo dos sistemas do ar-condicionado.

No caso das janelas, o controle térmico depende de duas estratégias, normalmente combinadas:

!$ \bullet !$ O uso de películas de polímeros aplicadas às placas de vidro, capazes de deixar passar a luz visível e bloqueando a travessia de radiação infravermelha.

Isso reduz a perda do calor interno para o ambiente nos dias frios e minimiza a entrada de radiação de calor nos dias quentes.

!$ \bullet !$ Outra solução para o isolamento, comumente adotada em países de primeiro mundo, é o uso de placas de vidro duplas, sendo o espaço entre elas preenchido com gases especiais.

!$ \bullet !$ Uma empresa fornecedora de vidros duplos de performance técnica ofereceu as seguintes alternativas de gases disponíveis entre as placas com suas respectivas condutividades térmicas, medidas em Kgás / cal / cm · K · s:

Gás entre

placas de

vidro

Ar

Atmosférico

H2

(Hidrogênio)

He

(Hélio)

Ar

(Argônio)

Condutividade

Térmica

absoluta a

1 Bar de pressão

6,18 43,5 36,3 4,23

Considere que a única diferença física entre esses conjuntos de vidro duplo é o gás entre as placas e que:

K Gás = Qd / A!$ \Delta !$T

Onde:

KGás = Condutividade térmica do gás ou da mistura gasosa;

Q = Quantidade de calor transferido;

d = Distância entre dois planos isotérmicos;

A = Área da superfície;

!$ \Delta !$T = Diferença de Temperatura entre as camadas interna e externa.

Considerando que as diferenças de preço são irrelevantes, assinale a alternativa que apresenta a opção de gás de preenchimento do “sanduíche” de vidro que seria a escolha técnica capaz de garantir o melhor isolamento térmico das janelas com vidros duplos para um projeto no litoral paulista.

 

Provas

Questão presente nas seguintes provas
3159545 Ano: 2023
Disciplina: Engenharia Química
Banca: IMAIS
Orgão: Pref. Santos-SP
Provas:

Além da contribuição da temperatura, outros fatores influenciam a velocidade com a qual uma reação se desenvolve. Entre eles pode-se citar a concentração dos reagentes, pois com o aumento da concentração dos reagentes, o número de choques efetivos entre as suas moléculas se multiplica e cresce a velocidade da reação; a superfície de contato, pois quanto maior a superfície de contato, maior a velocidade da reação; os catalisadores, pois são substâncias químicas capazes de acelerar determinadas reações, sem serem consumidas durante o processo. Os catalizadores, normalmente, atuam adsorvendo moléculas reagentes, posicionando as mesmas de maneira a facilitar a colisão produtiva nas reações. Podem também formar complexos intermediários, capazes de facilitar os mecanismos de reação ou mesmo reduzir a energia de ativação para que a reação ocorra de maneira espontânea a partir desse novo patamar energético. Os catalisadores, reduzem a energia necessária para atingir o estado de transição de uma reação, permitindo que mais moléculas possam atingir esse estado ativado sem ter de fornecer mais energia ao sistema. A partir desse ponto, a reação seguirá seu caminho até o ponto de equilíbrio.

Assim, é correto afirmar que

 

Provas

Questão presente nas seguintes provas
3132299 Ano: 2023
Disciplina: Engenharia Química
Banca: INQC
Orgão: Pref. Sant'ana Livramento-RS
Provas:

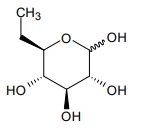
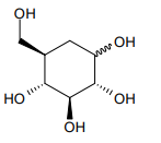
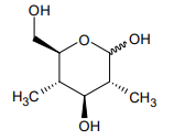
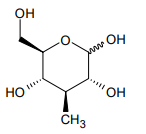
A glicose é um açúcar simples, também conhecido como um monossacarídeo, que desempenha um papel crucial como fonte de energia para os seres vivos. Ela é uma das principais formas de carboidratos que nosso corpo utiliza para produzir energia através do processo de metabolismo. A fórmula molecular da glicose é C6 H12 06 , o que significa que uma molécula de glicose consiste em seis átomos de carbono, doze átomos de hidrogênio e seis átomos de oxigênio.

Assinale a alternativa que contém a representação da fórmula estrutural da glicose.

 

Provas

Questão presente nas seguintes provas
3132298 Ano: 2023
Disciplina: Engenharia Química
Banca: INQC
Orgão: Pref. Sant'ana Livramento-RS
Provas:
A destilação é um processo de separação de componentes de uma mistura líquida com base em suas diferentes temperaturas de ebulição. Existem diferentes tipos de destilação, incluindo destilação flash, destilação binária e destilação multicomponente. Em relação aos processos de destilação, analise os itens a seguir.

I - A destilação flash é usada para separar componentes líquidos de uma mistura através de uma vaporização lenta seguida de condensação.
II - A destilação binária, como o nome sugere, envolve a separação de uma mistura de dois componentes líquidos.
III - Um exemplo comum de destilação binária é a destilação de álcool (etanol) e água.
IV - A destilação multicomponente envolve a separação de misturas que contêm mais de dois componentes. Um exemplo é a destilação fracionada do petróleo bruto em uma refinaria.

Quais estão corretos?
 

Provas

Questão presente nas seguintes provas
3132297 Ano: 2023
Disciplina: Engenharia Química
Banca: INQC
Orgão: Pref. Sant'ana Livramento-RS
Provas:
Determinado motor possui um rendimento de 35% e em cada ciclo um trabalho de 2500 J. Qual é a quantidade aproximada de calor recebido da fonte quente deste motor em calorias? (Considere 1 cal = 4 J).
 

Provas

Questão presente nas seguintes provas