Magna Concursos

Foram encontradas 138.476 questões.

3796768 Ano: 2025
Disciplina: Matemática
Banca: VUNESP
Orgão: SEDUC-SP
Os pontos A(0;6) e B(3;10) determinam uma reta, e os pontos C(0;0) e D(9;12) determinam outra reta, paralela à primeira reta. Os quatro pontos são vértices de um trapézio cuja área, em unidades quadradas, é igual a
 

Provas

Questão presente nas seguintes provas
3796767 Ano: 2025
Disciplina: Matemática
Banca: VUNESP
Orgão: SEDUC-SP
Dados os pontos A(−5; 48), B(x; 10) e C(4; −15), é correto afirmar que, para serem colineares, é necessário que o valor de x seja um número tal que
 

Provas

Questão presente nas seguintes provas
3796766 Ano: 2025
Disciplina: Matemática
Banca: VUNESP
Orgão: SEDUC-SP

Duas retas foram plotadas em um plano cartesiano. Suas equações são:

Enunciado 4671363-1

O maior ângulo formado por essas duas retas mede

 

Provas

Questão presente nas seguintes provas
3796765 Ano: 2025
Disciplina: Matemática
Banca: VUNESP
Orgão: SEDUC-SP
No plano complexo, uma das raízes da equação x2 – 2x + 5 = 0 é o número
 

Provas

Questão presente nas seguintes provas
3796764 Ano: 2025
Disciplina: Matemática
Banca: VUNESP
Orgão: SEDUC-SP
Sabe-se que a equação de 4º grau: x4 – 27x2 + 14x + 120 = 0 apresenta quatro raízes inteiras, sendo que duas delas são: –2 e 3. Com essas informações, é correto afirmar que a soma das outras duas raízes é igual a
 

Provas

Questão presente nas seguintes provas
3796763 Ano: 2025
Disciplina: Matemática
Banca: VUNESP
Orgão: SEDUC-SP
Considere uma lista com todos os anagramas formados com estas seis letras: ABBCCC. Sorteando-se um desses anagramas, a probabilidade de as duas letras B estarem juntas e ao lado de cada letra B estar uma letra C é de
 

Provas

Questão presente nas seguintes provas
3796762 Ano: 2025
Disciplina: Matemática
Banca: VUNESP
Orgão: SEDUC-SP
Dois dados no formato de octaedros regulares são idênticos e equilibrados. Em cada dado, uma face é numerada com 1, duas faces com 2, uma face com 3, uma face com 4 e três faces com 5. No lançamento simultâneo desses dois dados, a probabilidade de se obter faces cuja soma dos números seja 6 é igual a
 

Provas

Questão presente nas seguintes provas
3796761 Ano: 2025
Disciplina: Matemática
Banca: VUNESP
Orgão: SEDUC-SP
Uma convocação reuniu 12 representantes, cada um de um dos apartamentos de um condomínio, sendo 7 mulheres e 5 homens. Decidiu-se formar uma comissão de estudos para ampliar a segurança do local. Essa comissão deve ser formada obrigatoriamente por 2 mulheres e 2 homens. Nessas condições, o número de comissões possíveis é
 

Provas

Questão presente nas seguintes provas
3796760 Ano: 2025
Disciplina: Matemática
Banca: VUNESP
Orgão: SEDUC-SP
Cinco cadeiras estão alinhadas lado a lado, todas volta das para frente, nas quais quatro pessoas, identificadas por suas iniciais A, B, C e D, irão sentar-se, uma pessoa por cadeira. O número de maneiras distintas de elas sentarem, de modo que a pessoa B sente-se imediatamente à esquerda da pessoa A, é
 

Provas

Questão presente nas seguintes provas
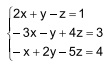
3796759 Ano: 2025
Disciplina: Matemática
Banca: VUNESP
Orgão: SEDUC-SP
Este sistema linear está parcialmente resolvido com a utilização da regra de Cramer:
Enunciado 4671356-1
Resolução iniciada:
Enunciado 4671356-2
Com relação aos valores das incógnitas, é correto afirmar que
 

Provas

Questão presente nas seguintes provas