Foram encontradas 4.047.148 questões.
Complete a tabela verdade abaixo:

Com base na tabela verdade completa, analise as assertivas a seguir.
I- A proposição composta principal, sexta coluna, equivale a (P→Q) ∧ (R ↔P);
II- A primeira proposição composta, intermediária na construção da tabela verdade, é tautológica;
III- P, Q e R são proposições simples;
IV- A proposição (R ↔P) é tautológica.
É CORRETO o que se afirma em:
Provas
Complete a tabela verdade a seguir e analise as assertivas.

I- A tabela verdade deveria ter oito linhas, pois a maior proposição composta, última coluna da tabela verdade, é formada a partir de três outras proposições.
II- A tabela verdade apresentada correspondente à construção da proposição composta principal: (T→U) ∨ (~U), que é tautológica;
III- As proposições compostas: (T→U) e (~U) são consideradas intermediárias na construção da proposição composta principal;
IV- Aprimeira proposição composta intermediária é tautológica.
É CORRETO o que se afirma em:
Provas
P: O aluno foi aprovado;
Q: O aluno fez a prova.
Assinale a alternativa que é equivalente à proposição composta a seguir:
Provas
Considere as proposições simples p, q, r e s e as seguintes premissas verdadeiras:
( i ) p ↔ r
( ii ) r ↔ s
( iii ) ~ s v ~ q
( iv ) p
Com base exclusivamente nessas premissas, é CORRETO concluir que é verdadeiro:
Provas
Fonte: MINISTÉRIO DASAÚDE, 2026; FAPERJ; 2026.
Considere, de forma hipotética, o seguinte protocolo simplificado para administração e logística de tratamento em um paciente:
• Cada dose de polilaminina é preparada em um frasco contendo 2,5 mL de solução com concentração de 6 mg/mL de princípio ativo;
• O tratamento experimental exige que o paciente receba duas doses por dia, durante 5 dias consecutivos;
• O frasco de solução é estocado em uma caixa térmica com capacidade de 10 L, sendo necessário reservar 25 % do volume da caixa para gelo;
• Cada bloco de gelo ocupa 1 Le não se pode utilizar partes do bloco de gelo;
• O laboratório fica a 90 km do centro de aplicação, e a ambulância realiza o trajeto de ida e volta com velocidade média de 60 km/h, havendo ainda 1 hora de preparação antes do envio.
Com base nessas informações, é CORRETO afirmar que:
Provas
Fonte: BRASIL, 2026; COMITÊ OLÍMPICO INTERNACIONAL, 2026.
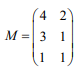
Considere, para fins matemáticos, que o Brasil tenha participado de três modalidades nos Jogos Olímpicos de Inverno 2026, a distribuição dos atletas por modalidade e por sexo é representada pela matriz M:
Na qual:
(i) cada linha corresponde, respectivamente, às modalidades A, B e C;
(ii) a primeira coluna indica o número de atletas do sexo masculino;
(iii) a segunda coluna indica o número de atletas do sexo feminino.
Além disso, sabe-se que:
• todos os atletas foram distribuídos integralmente em equipes de treinamento, cada uma formada por exatamente 2 atletas;
• cada atleta participou de apenas uma equipe;
• não houve sobreposição entre equipes nem atletas remanescentes;
• cada equipe utilizou uma pista retangular de gelo, cuja área é proporcional ao número de atletas da equipe, considerando que cada atleta necessita de 15 m2 de área.
Com base nessas informações, é CORRETO afirmar que:
Provas
• Região Sudeste: aproximadamente 594.000 nascidos vivos;
• Região Nordeste: aproximadamente 434.000 nascidos vivos;
• Região Sul: aproximadamente 230.000 nascidos vivos;
• Região Norte: aproximadamente 168.000 nascidos vivos;
• Região Centro-Oeste: aproximadamente 142.000 nascidos vivos.
Considere, ainda, que os dados de setembro a dezembro do referido ano não estavam consolidados no momento da extração.
Com base exclusivamente nessas informações, é CORRETO afirmar que:
Provas
Considere que, durante o primeiro bloco comercial exibido após a abertura do Super Bowl 2026, sete empresas anunciaram seus produtos, pagando os valores (em milhões de reais) apresentados na Figura 1.
Figura 1: Distribuição dos valores pagos (em R$ milhões) por sete comerciais exibidos no primeiro bloco após a abertura do Super Bowl 2026.
Fonte: CPCON, 2026
Com base nesses dados, analise as medidas de tendência central e assinale a alternativa CORRETA.
Provas
A. “Na verdade nenhum deles prestava atenção às palavras do outro” (3º parágrafo)
B. “Às vezes uma interjeição gutural dava energia ao discurso ambíguo” (3º parágrafo)
C. “iam exibindo as imagens que lhes vinham ao espírito” (3º parágrafo)
Analise as assertivas que seguem.
I- O emprego da crase em Ae em B se justifica por diferentes regras.
II- Em A, o acento indicativo da crase se justifica em razão da fusão da preposição “a” com o artigo que antecede o termo “palavras”.
III- Em B, o acento indicativo da crase foi empregado em razão de ser um adjunto adverbial curto.
IV- Em C, o acento gráfico em “espírito” foi empregado em razão de ser uma palavra proparoxítona.
V- Em B, o acento gráfico em “ambíguo” foi empregado em razão de ser uma palavra oxítona.
ÉCORRETO o que se afirma apenas em:
Provas
Provas
Caderno Container