Foram encontradas 1.168 questões.
Em determinado estudo, a variável aleatória X adquire valor 1 caso uma ligação telefônica seja completada com sucesso, e valor 0 se a ligação não for bem-sucedida. Um analista deseja testar a hipótese nula H0 : p = 0,5 contra a hipótese alternativa H1 : p = 0,75, em que p = P(X = 1) representa a probabilidade de sucesso. Para esse teste, foram observadas três cópias independentes e identicamente distribuídas, X1, X2, X3, da variável X. O teste de hipóteses de Neyman-Pearson está escrito na forma apresentada a seguir, em que X = (X1, X2, X3), R(X) é uma função real, e k ≥ 0 e 0 ≤ w ≤ 1.

Com base nos dados desse estudo, julgue o item que se segue.
Se w = 0, o teste será do tipo não randomizado (non-randomized) e, nesse caso, não há uma região crítica exata para o nível de significância igual a 10%.
Provas
Em determinado estudo, a variável aleatória X adquire valor 1 caso uma ligação telefônica seja completada com sucesso, e valor 0 se a ligação não for bem-sucedida. Um analista deseja testar a hipótese nula H0 : p = 0,5 contra a hipótese alternativa H1 : p = 0,75, em que p = P(X = 1) representa a probabilidade de sucesso. Para esse teste, foram observadas três cópias independentes e identicamente distribuídas, X1, X2, X3, da variável X. O teste de hipóteses de Neyman-Pearson está escrito na forma apresentada a seguir, em que X = (X1, X2, X3), R(X) é uma função real, e k ≥ 0 e 0 ≤ w ≤ 1.

Com base nos dados desse estudo, julgue o item que se segue.
A determinação do valor k dependerá da escolha do nível de significância do teste.
Provas
Em determinado estudo, a variável aleatória X adquire valor 1 caso uma ligação telefônica seja completada com sucesso, e valor 0 se a ligação não for bem-sucedida. Um analista deseja testar a hipótese nula H0 : p = 0,5 contra a hipótese alternativa H1 : p = 0,75, em que p = P(X = 1) representa a probabilidade de sucesso. Para esse teste, foram observadas três cópias independentes e identicamente distribuídas, X1, X2, X3, da variável X. O teste de hipóteses de Neyman-Pearson está escrito na forma apresentada a seguir, em que X = (X1, X2, X3), R(X) é uma função real, e k ≥ 0 e 0 ≤ w ≤ 1.

Com base nos dados desse estudo, julgue o item que se segue.
É correto afirmar que R(X) = X1 + X2 + X3.
Provas
Com base no teorema limite central, julgue o item abaixo.
Sendo uma amostra aleatória simples retirada de uma
distribuição X com média µ e variância 1, a distribuição da
média amostral dessa amostra,
, converge para uma
distribuição normal de média nµ e variância 1, à medida que n
aumenta.
Provas
No que se refere à teoria de probabilidades, julgue o seguinte item.
É possível haver uma função de densidade de probabilidade
g(x) assimétrica, definida no intervalo [-1; 1], tal que ![]()
Provas
Julgue o item a seguir, que versam sobre análise exploratória de dados.
Considerando-se a tabela de contingência abaixo apresentada, é correto afirmar que basta a identificação dos valores A, D, N e n11 para a obtenção dos demais valores indicados nessa tabela.

Provas
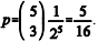
Julgue o item que se segue, relativo a conceitos de amostragem.
Em uma sequência de 5 lançamentos independentes de uma
moeda equilibrada, em que cada lançamento represente
um ensaio de Bernoulli, a probabilidade de serem observadas
consecutivamente 3 caras (considerados os sucessos)
e 2 coroas (considerados os fracassos) é ![]()
Provas
No que se refere à teoria de probabilidades, julgue o seguinte item.
Se A e B são dois eventos aleatórios não disjuntos, então P(A|B) ≤ P(A)/P(B).
Provas

Na tabela acima, é apresentado o tempo de duração, em horas, de baterias fornecidas por três fabricantes, A, B e C, resultado de realizações de amostras aleatórias simples retiradas de populações normais com variâncias iguais a σ2 , e médias iguais a μA, μB, e μC para os fabricantes A, B e C, respectivamente.
A partir dessas informações, julgue os itens que se seguem, em relação à análise de variância com um fator (one-way ANOVA).
Com relação à hipótese nula H0 : μA = μB = μC, a razão F da análise de variância em questão apresenta valor inferior a 1, o que permite concluir que não há evidências estatísticas para a rejeição dessa hipótese.
Provas
Para decidir entre o estilo de liderança focado na tarefa e o estilo de liderança focado nas relações humanas, deve-se considerar o grau de motivação e de qualificação dos subordinados
Provas
Caderno Container