Foram encontradas 220 questões.
Leia o texto a seguir e responda à questão.
A violência que mais vitima mulheres no Brasil ocorre dentro das residências, praticada pelas mãos da pessoa com quem elas escolheram viver. Pesquisa realizada pelo Data Senado no ano passado aponta que uma em cada cinco mulheres brasileiras já foi vítima de agressão e, entre elas, 73% foram agredidas por marido, companheiro, namorado ou algum homem com quem já tiveram relacionamento. Foi apenas há dez anos, porém, que a violência praticada dentro de casa – por pessoas da própria família – passou a ser reconhecida como crime. Uma década após a promulgação da Lei Maria da Penha, o Brasil comemora o fato de ter uma das leis de proteção da mulher mais avançadas do mundo, que reconhece como violência não apenas as agressões físicas, mas também a violência física e moral. Falta de estrutura pública para realizar o atendimento às mulheres, o medo de denunciar e a falta de conhecimento das questões de gênero por parte do sistema jurídico são considerados os principais entraves para a efetivação da lei.
“É a primeira legislação que fala efetivamente de violência de gênero no Brasil. Antes disso, em pleno século 21, não existia previsão legal de reconhecimento dos direitos humanos das mulheres e principalmente destinada à proteção daquelas submetidas à violência. Não existia diferenciação entre as demais políticas públicas que combatem violência e as violências de gênero”, opina a promotora de Justiça Mariana Seifert Bazzo, coordenadora do Núcleo de Promoção da Igualdade de Gênero (Nupige). Uma das mais importantes determinações desta legislação é a possibilidade de pedir uma medida protetiva judicial que ordena o afastamento imediato do homem agressor. “Antes da lei, a mulher agredida continuava à mercê do responsável pela violência”, comenta.
Segundo dados consolidados pelo Nupige, foram registrados no Estado 17.639 casos de violência doméstica contra a mulher entre o segundo semestre de 2014 e o primeiro de 2015. Além disso, comunicaram-se à instituição 187 feminicídios ocorridos entre 10 de março de 2015 (quando a Lei do Feminicídio entrou em vigor) e 29 de julho de 2016. O feminicídio, segundo a promotora, é o fim de um processo que pode durar anos e submeter a mulher a torturas físicas e psicológicas. Por isso, ela reforça que um dos avanços trazidos pela lei é o reconhecimento das violências que antecipam a prática das graves agressões, como a violência psicológica e agressões que não caracterizam tentativa de homicídio. “Atualmente essas condutas são consideradas crimes, mas antes da lei eram entendidas como episódios de menor importância. A violência que a mulher sofre dentro de casa não é um irrelevante penal, é um crime gravíssimo que toda a sociedade tem o dever de combater”, diz, lembrando que 80% dos casos de violência praticada contra as mulheres ocorrem dentro de casa. “As mulheres são assassinadas por pessoas conhecidas”, lamenta.
Apesar da Lei Maria da Penha ser considerada avançada em relação ao resto do mundo, a promotora explica que muitas mulheres ainda temem buscar proteção. A pesquisa do Data Senado mostra que as vítimas que optaram por não denunciar alegaram, como principais motivos: a preocupação com a criação dos filhos (24%), o medo de vingança do agressor (21%) e acreditar que seria a última vez (16%). A crença na impunidade do agressor e a vergonha da agressão foram citadas por 10% e 7%, respectivamente. “Elas não denunciam porque tentam refazer a relação afetiva com a pessoa com quem têm filhos e também sentem medo do agressor, temem que fiquem ainda mais perigosos, mas a lei tem desconstruído essa ideia. As mulheres estão entendendo que não vão perder a casa, a guarda dos filhos ou bens se denunciarem”, avalia.
Apesar da violência doméstica ocorrer em todas as classes sociais, Mariana Seifert Bazzo pontua que nas classes mais altas o constrangimento de denunciar é maior. “Um caso como o da Luiza Brunet, que denunciou na mídia ter sido agredida pelo marido, jamais seria de conhecimento público há um tempo atrás, porque a sociedade tende a culpabilizar a mulher pela violência sofrida. Por isso defendo que a aplicação da lei deve ser um comprometimento de todos, não é mera briga de marido e mulher”, lamenta.
Outro motivo de preocupação é a perpetuação da violência através das gerações. “A maioria das agressões é presenciada por filhos, ainda crianças, que podem começar a achar a violência natural. É um problema social que afeta toda a infância e juventude”, denuncia. Para mudar essa realidade, a promotora afirma que são necessários agentes públicos sensibilizados e capazes de atender rapidamente as demandas das vítimas, com encaminhamento para exames de lesão corporal, agilidade na medida protetiva e rápida intimação do agressor. “Para isso, é necessário orçamento e mobilização do poder público. Muitas políticas públicas ainda não foram realizadas para garantir a implementação da lei, como número suficiente de promotorias e delegacias especializadas. A violência contra a mulher tem um aspecto cultural, por isso a desconstrução dessa cultura é importante”, pede.
(Adaptado de: AVANSINI, C. Combate à violência doméstica é dever de toda a
sociedade. Folha de Londrina. 21 ago. 2016. Reportagem: Problema Social. p.6.)
Sobre o trecho “Um caso como o da Luiza Brunet, que denunciou na mídia ter sido agredida pelo marido, jamais seria de conhecimento público há um tempo atrás, porque a sociedade tende a culpabilizar a mulher pela violência sofrida”, assinale a alternativa correta.
Provas
Questão presente nas seguintes provas
O Manual de Redação da Presidência da República aponta algumas características fundamentais da redação oficial.
Relacione a característica, na coluna da esquerda, com a sua definição, na coluna da direita.
| (I) Impessoalidade. | (A) Faz desaparecer do texto os excessos linguísticos que nada lhe acrescentam. |
| (II) Clareza. | (B) Evita a duplicidade de interpretações que poderia decorrer de um tratamento personalista dado ao texto. |
| (III) Concisão. | (C) Diz respeito à necessária uniformidade nas comunicações oficiais, sem descuidar da apresentação dos textos, sua correta datilografia e diagramação. |
| (IV) Formalidade. | (D) Deve ser a qualidade básica de todo texto oficial, que necessita de imediata compreensão pelo leitor. |
| (V) Padronização. | (E) Diz respeito à polidez, à civilidade no próprio enfoque dado ao assunto do qual cuida a comunicação. |
Assinale a alternativa que contém a associação correta.
Provas
Questão presente nas seguintes provas
Leia a frase a seguir.
A comunicação do Governo tem de ser vista como política, pública, fundamental e necessária.
(DUARTE, J. (org.) Assessoria de Imprensa e Relacionamento com a Mídia: teoria e prática. 3.ed. São Paulo: Atlas, 2010. p.211.)
Sobre as características específicas da assessoria de imprensa nos órgãos públicos, assinale a alternativa correta.
Provas
Questão presente nas seguintes provas
Relações públicas comunitárias são uma perspectiva social e humanizada das práticas de relacionamento, geralmente focadas em comunidades assistidas pelas organizações.
Assinale a alternativa que apresenta, corretamente, o objetivo central das relações públicas comunitárias.
Provas
Questão presente nas seguintes provas
1703897
Ano: 2016
Disciplina: TI - Desenvolvimento de Sistemas
Banca: COPS-UEL
Orgão: Câm. Londrina-PR
Disciplina: TI - Desenvolvimento de Sistemas
Banca: COPS-UEL
Orgão: Câm. Londrina-PR
Provas:
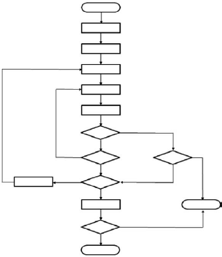
Considere o fluxograma a seguir.

Sobre esse fluxograma, considere as afirmativas a seguir.
I. O fluxograma contém 3 estruturas de repetição.
II. O fluxograma representa um programa estruturado.
III. O fluxograma possui 2 pontos de saída.
IV. O fluxograma possui 5 estruturas de decisão.
Assinale a alternativa correta.
Provas
Questão presente nas seguintes provas
Leia a crônica a seguir e responda à questão.
Um dos traços mais significativos do pensamento moderno é a sua flexibilidade para compreender todos os aspectos da realidade, isto é, incluí-los na sua compreensão. Exemplo notável dessa abrangência, que parece desconhecer limites, é a teoria quântica que, por tão inusitada e inovadora, foi inicialmente negada pelo próprio Einstein. É que a visão de Einstein se fundava no princípio de que o Universo é regido por leis coerentes e harmoniosas, enquanto a teoria quântica introduziu no pensamento científico o “princípio da incerteza”. Noutras palavras, na mecânica quântica, não é possível prever com precisão os eventos físicos, pois nem todos os fenômenos obedecem à regularidade das leis que regem a matéria.
Na mesma linha, podemos situar a “teoria do caos”, que aceita a desordem como um outro tipo de ordem, só que mais complexa e difícil de definir. Há também uma teoria, baseada na segunda lei da termodinâmica, que prevê a morte térmica do Universo, partindo do fato de que, na transformação de energia em trabalho, dá-se uma constante perda de energia; daí a tendência de todos os sistemas para a desorganização, ou seja, para a desordem. É a isso que se chama entropia.
A necessidade de tudo explicar e compreender é sem dúvida um avanço do pensamento humano que, se estendido ao campo da política e até do simples convívio humano, evitará muito erro e até mesmo muito desastre. Quanto mais aceitamos a complexidade do mundo e da vida, menos esquemáticos somos e, por consequência, menos intolerantes.
Mas devemos tomar cuidado com esta tese, já que ela pode também conduzir à pura e simples aceitação de tudo, o que, em vez de produzir benefícios, produzirá prejuízos. E aqui, mais uma vez, aplica-se o princípio da não simplificação dos problemas.
Tomemos como exemplo a questão do que é gramaticalmente certo ou errado. Antigamente, exigia-se obediência rigorosa às regras gramaticais, mas, seguindo neste campo, as coisas mudaram: hoje, em lugar de simplesmente afirmar-se que determinada expressão está errada, leva-se em conta o fato de que existem usos diferentes do idioma, donde concluir-se que a mesma norma não vale para o uso culto e para o uso popular. Deve-se admitir então que não há mais norma alguma e que as leis gramaticais foram abolidas? Certamente, não. Mas tampouco é esta uma questão simples.
Como escritor, mantenho com o idioma uma relação um pouco diferente da que mantêm as demais pessoas. Daí talvez minha preocupação com respeito à adoção do vale-tudo em matéria gramatical. Parto do princípio de que a obediência às normas básicas do idioma preserva- lhe uma capacidade maior de expressar, com precisão, o pensamento, sem eliminar as sutilezas e as nuances que o tornam mais rico. Por exemplo, hoje em dia quase ninguém mais fala este e esta. Talvez por mero desleixo, as pessoas dizem esse ou essa, como se não houvesse qualquer distinção entre as duas palavras. Na televisão, é comum ouvir-se o locutor dizer, referindo-se ao momento presente: “a nossa programação dessa noite...” Ou: “nesse momento passamos a transmitir de nossos estúdios”. Embora não se trate de nenhum grave delito, se esse uso errado se impuser como certo, a língua ficará mais pobre. Há muitos outros casos de uso errado mas frequente de expressões como “um dos que fez” (em lugar de fizeram), ou “as milhões de pessoas” (em vez de os milhões). O perigo é que passem a dizer “dois dúzias de ovos”... A tolerância é louvável, mas tem limites.
Devo dizer, porém, que não estou aqui para criminalizar esses atentados ao bom uso da língua, já que sou autor de um aforismo que diz: “quem tem frase de vidro não joga crase na frase do vizinho”.
(Adaptado de: GULLAR, Ferreira. O certo e o errado. In: Melhores crônicas. São Paulo: Global, 2004. p.182-184.)
A respeito das formas verbais empregadas na crônica, considere as afirmativas a seguir.
I. No trecho “Tomemos como exemplo a questão” (5º parágrafo), utilizou-se o Modo Imperativo a fim de convidar o leitor a acompanhar a análise a ser empreendida.
II. Em “como se não houvesse qualquer distinção entre as duas palavras” (6º parágrafo), o verbo está flexionado no Pretérito Imperfeito do Subjuntivo como forma de marcar uma comparação hipotética ou subjetiva.
III. A forma verbal empregada em “Embora não se trate de nenhum grave delito” (6º parágrafo) está conjugada no Presente do Subjuntivo por se tratar de indicação de hipótese.
IV. Na oração “se esse uso errado se impuser como certo” (6º parágrafo), a forma verbal apresenta-se flexionada no mesmo Modo que “compreender” (1º parágrafo).
Assinale a alternativa correta.
Provas
Questão presente nas seguintes provas
1689648
Ano: 2016
Disciplina: TI - Sistemas Operacionais
Banca: COPS-UEL
Orgão: Câm. Londrina-PR
Disciplina: TI - Sistemas Operacionais
Banca: COPS-UEL
Orgão: Câm. Londrina-PR
Provas:
Em relação ao Windows Server 2008 R2, atribua V (verdadeiro) ou F (falso) às afirmativas a seguir.
( ) A sua capacidade de virtualização permite o armazenamento de máquinas virtuais com inclusão/remoção a quente.
( ) O Hyper-V possui recursos como a virtualização assistida por hardware e a sobrecarga de virtualização reduzida.
( ) Possui recursos de confiabilidade específicos, como o failover de DHCP e o DNSSEC, para garantir a integridade das consultas de nomes DNS.
( ) Possui suporte para até 16 núcleos lógicos para instâncias únicas e até 32 núcleos lógicos para uma única instância de máquina virtual.
( ) Por motivos de segurança, bloqueia serviços de área de trabalho remota.
Assinale a alternativa que contém, de cima para baixo, a sequência correta.
Provas
Questão presente nas seguintes provas
Sobre a auditoria de imagem, assinale a alternativa correta.
Provas
Questão presente nas seguintes provas
Com base nos conhecimentos sobre levantamento do balanço patrimonial, de acordo com a Lei nº 6.404/1976 e alterações (Lei das Sociedades por Ações), considere as afirmativas a seguir.
I. As ações em tesouraria, por ser um ativo negociável, deverão ser destacadas no balanço patrimonial como investimentos de curto ou longo prazo, de acordo com o prazo definido pela empresa para venda, para compensar os recursos aplicados na sua aquisição.
II. No balanço patrimonial, as obrigações, os encargos e os riscos, conhecidos ou calculáveis, inclusive imposto sobre a renda a pagar com base no resultado do exercício, serão computados pelo valor atualizado até a data do balanço.
III. No balanço patrimonial, as aplicações em instrumentos financeiros, inclusive derivativos, e em direitos e títulos de créditos, classificados no ativo circulante ou no realizável a longo prazo, quando se tratar de aplicações destinadas à negociação ou disponíveis para venda, serão avaliados pelo seu valor justo.
IV. No balanço patrimonial, mais especificamente no passivo circulante (PC), são contabilizadas as obrigações com os empregados, entre elas as “Provisão para Férias”, “INSS sem Provisão de Férias” e “FGTS sem Provisão de Férias”, desde a publicação do Pronunciamento Técnico CPC 25 – Provisões, Passivos Contingentes e Ativos Contingentes. As férias dos empregados passaram a se enquadrar no conceito de passivos derivados de apropriações por competência (accruals) e, como tais, começaram a ser contabilizadas.
Assinale a alternativa correta.
Provas
Questão presente nas seguintes provas
Sobre o clássico conceito de relações públicas elaborado pela Associação Brasileira de Relações Públicas (ABRP), assinale a alternativa correta.
Provas
Questão presente nas seguintes provas
Cadernos
Caderno Container