Foram encontradas 60 questões.
Disciplina: Administração de Recursos Materiais
Banca: OMNI
Orgão: CEASA-PR
NÃO é um tipo de arranjo físico por:
Provas
Leia o texto a seguir para responder às questões de 1 a 6.
Salvar a Amazônia está ao alcance de todos
*Janaína Dallan
10/06/2021
Todos os anos a Organização das Nações Unidas (ONU) elege um problema ambiental com o qual o planeta precisa lidar para ser o tema do Mês do Meio Ambiente. É uma forma de chamar a atenção para questões essenciais que nem sempre recebem a atenção devida. Em 2021, é a restauração de ecossistemas.
Para um país como o Brasil, que tem 60% da maior floresta tropical do mundo, esse é um assunto que não deveria sair nunca da pauta. Mas sabemos que, na prática, apesar das questões ambientais estarem ganhando cada vez mais visibilidade e relevância, especialmente com os pilares ESG, ainda está muito longe do ideal e do necessário. A começar pelo pouco conhecimento que temos sobre a Amazônia e, principalmente, a respeito do que cada um pode fazer para preservá-la. Vale lembrar que em torno de 50% das emissões de Gases de Efeito Estufa no Brasil são provenientes do desmatamento da Amazônia.
Sim, a preservação da Amazônia está ao alcance de todos nós, especialmente das empresas. Não dá mais para esperar que políticos façam o que deveriam fazer. Temos, claro, que votar com consciência e cobrar que façam o que é preciso, mas passou da hora de envolver o mercado nesse propósito de forma prática e intensiva. Só assim conseguiremos dar o salto necessário para interromper o processo de destruição da floresta. Ela é muito mais que um conjunto esplêndido de árvores milenares. É a maior biodiversidade do globo terrestre, com cerca de 60 mil espécies de plantas e animais — um ecossistema riquíssimo que está clamando por socorro.
E é possível que pessoas físicas e jurídicas ajudem a reverter a situação dramática de destruição que temos acompanhado nos últimos anos. O caminho é investir em projetos de REDD+ (Redução de Emissões Provenientes de Desmatamento e Degradação Florestal — com o objetivo de preservar áreas imensas na Amazônia Legal que sofrem grandes pressões de desmatamento) para que avancem além dos 2 milhões de hectares atuais para a meta necessária de 50 milhões em toda a Floresta Amazônica até 2030.
Para isso, basta que cada companhia e todos os cidadãos que puderem adicionar mais uma conta de consumo a seu rol de boletos mensais decidam compensar suas emissões de CO², por meio de projetos de geração de crédito de carbono na Amazônia. Sim, é simples desse jeito, mas depende da vontade e do comprometimento de cada um. Afinal, o mercado de crédito de carbono no Brasil ainda é voluntário.
Isso quer dizer que o governo não estabelece um teto de emissão de CO², não taxa as indústrias que ultrapassarem a cota, nem controla quanto cada companhia deveria compensar. Tampouco regula esse mercado, a fim de garantir que tenha condições de se desenvolver e gerar riquezas para o país, como já fizeram Chile, Colômbia e Canadá para citar apenas três exemplos.
Portanto, temos que nos mobilizar para cada um fazer a sua parte, mas, também, para exigir que o governo federal faça a dele, que é proteger a floresta e regulamentar o mercado de créditos de carbono para aumentar os projetos de REED+. É preciso preservar a natureza e integrar as comunidades locais; e, ao mesmo tempo, promover o desenvolvimento sustentável da região.
A compensação de emissões de carbono com a política de créditos é apenas o início de um ciclo de projetos. Com a mata em pé, é possível explorar, de forma responsável, toda a potencialidade de suas riquezas naturais e culturais para diversos mercados, como saúde, cosmética e alimentação, integrando as comunidades e floresta à sociedade moderna. Os projetos de REDD+ são essenciais para conservarmos a biodiversidade, estabilidade climática e assim chegarmos a uma economia de baixo carbono.
Proteger a floresta, apesar de parecer algo distante, é muito mais barato e eficiente que qualquer projeto de reflorestamento adotado por tantas empresas. Com R$ 100 é possível preservar um hectare da Amazônia por meio de projetos de créditos de carbono voluntários. Enquanto recuperar um hectare de área desmatada custa cerca de R$ 10 mil a R$ 25 mil, dependendo da técnica utilizada. O cálculo considera apenas árvores e não contabiliza todo o ecossistema que é preservado e que, infelizmente, não se recupera com a velocidade de um replantio.
Há muitas empresas bem intencionadas que colocam grande volume de recursos em projetos sustentáveis, mas com baixo retorno para o meio ambiente. É possível aumentar exponencialmente a taxa de retorno e salvar a Amazônia. Por isso, proponho que usemos a provocação da ONU para assumir a parte que nos cabe na preservação de um dos ecossistemas mais importantes do mundo.
*Janaína Dallan
Engenheira florestal, membro do time de
especialistas da ONU para Mudanças Climáticas
(RIT) e CEO da Carbonext
https://www.correiobraziliense.com.br
Entre os vocábulos abaixo, extraídos do texto, um apresenta o processo de formação por derivação sufixal, formando um adjetivo com ideia de relação. Assinale-o:
Provas
- PODC: Processo OrganizacionalProcesso Administrativo: PlanejamentoAnálise SWOT
- PODC: Processo OrganizacionalProcesso Administrativo: PlanejamentoPlanejamento e Estratégia
Analise as combinações realizadas a partir da matriz SWOT, e marque a alternativa INCORRETA.
Provas
- Gestão de PessoasMotivaçãoMotivação e Desempenho
- PODC: Processo OrganizacionalProcesso Administrativo: ControleIndicadores de Desempenho
O sucesso do administrador depende mais do seu desempenho e da maneira como lida com pessoas e situações do que de seus traços particulares de personalidade. Depende daquilo que ele consegue fazer e não daquilo que ele é. Esse desempenho é o resultado de certas habilidades que o administrador possui e utiliza. A habilidade que envolve o uso de conhecimento especializado e facilidade na execução das tarefas relacionadas com o trabalho e com os procedimentos de realização é a:
Provas
- PODC: Processo OrganizacionalProcesso Administrativo: ControleControle e Avaliação
- PODC: Processo OrganizacionalProcesso Administrativo: ControleIndicadores de Desempenho
A elaboração e a gestão dos indicadores de desempenho podem trazer uma contribuição significativa no controle de uma empresa. Tais indicadores podem ser direcionados para o monitoramento e servir como referência para o processo de tomada de decisão e a criação de estratégias de melhoria em um próximo planejamento. Sobre os indicadores de desempenho Organizacional, é INCORRETO afirmar que os indicadores
Provas
Disciplina: Administração de Recursos Materiais
Banca: OMNI
Orgão: CEASA-PR
Sobre os elos nos canais de distribuição, é CORRETO afirmar que
Provas
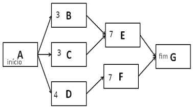
Considere os dados abaixo para definir o caminho crítico:

Com base nas informações, qual é a soma em dias do caminho crítico?
Provas
Disciplina: Administração de Recursos Materiais
Banca: OMNI
Orgão: CEASA-PR
O gráfico abaixo representa as etapas da administração de materiais. Assinale a alternativa que corresponde corretamente e na sequência as etapas representadas.

Provas
A evolução na arquitetura de computadores é inegável, e nessa mudança os conectores de vídeo foram evoluindo, alguns se tornaram raros e outros atualmente são quase um padrão. Dentre as alternativas abaixo qual NÃO representa um conector de vídeo?
Provas
Assinale a alternativa que apresenta frase em desacordo com a norma culta.
Provas
Caderno Container