Foram encontradas 70 questões.
No projeto de circuitos integrados, utiliza-se uma variedade de tecnologias de implementação e de técnicas e estilos de projeto. Nesse contexto, julgue os itens que se seguem.
O estilo de projeto standard-cells é caracterizado por uma matriz pré-difundida sobre a qual o circuito é implementado, ao se definir e realizar interconexões entre os dispositivos do circuito.
Provas
No projeto de circuitos integrados, utiliza-se uma variedade de tecnologias de implementação e de técnicas e estilos de projeto. Nesse contexto, julgue os itens que se seguem.
Entre os estilos de leiaute utilizados para a geração automática de máscaras, o linear-matrix caracteriza-se pela presença de apenas uma trilha de difusão p e uma trilha de difusão n, dispostas em paralelo com a alimentação, sobre as quais são construídos os transistores.
Provas
No projeto de circuitos integrados, utiliza-se uma variedade de tecnologias de implementação e de técnicas e estilos de projeto. Nesse contexto, julgue os itens que se seguem.
Na implementação de máquinas de estado, a diferença entre uma máquina de Mealy e uma de Moore é a capacidade que esta última possui de acionar as saídas de forma assíncrona com relação ao relógio.
Provas
Disciplina: TI - Desenvolvimento de Sistemas
Banca: CESPE / CEBRASPE
Orgão: CTI

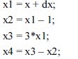
No projeto em alto nível de abstração, é usual representar o comportamento de um circuito por meio de algoritmos escritos em linguagens de programação, como C ou C++. Ignorando os problemas de entrada e de saída e assumindo que cada operação leva um ciclo de relógio e que a arquitetura do circuito deve seguir o modelo FSMD, de Gajsky (unidade de controle/unidade operativa), considere o problema de projetar um hardware que implemente o código acima apresentado. Com relação a essa situação, julgue os seguintes itens.
Considerando que haja quatro ciclos de relógio alocados para a execução do código, então os algoritmos de escalonamento ASAP e ALAP produziriam a mesma distribuição de operações pelos ciclos.
Provas
Disciplina: TI - Desenvolvimento de Sistemas
Banca: CESPE / CEBRASPE
Orgão: CTI

No projeto em alto nível de abstração, é usual representar o comportamento de um circuito por meio de algoritmos escritos em linguagens de programação, como C ou C++. Ignorando os problemas de entrada e de saída e assumindo que cada operação leva um ciclo de relógio e que a arquitetura do circuito deve seguir o modelo FSMD, de Gajsky (unidade de controle/unidade operativa), considere o problema de projetar um hardware que implemente o código acima apresentado. Com relação a essa situação, julgue os seguintes itens.
Os operadores aritméticos “+” e “-” poderiam ser agrupados em uma única unidade somador-subtrator, reduzindo assim a complexidade do circuito sem aumentar o número de passos necessários à sua execução.
Provas
Disciplina: TI - Desenvolvimento de Sistemas
Banca: CESPE / CEBRASPE
Orgão: CTI

No projeto em alto nível de abstração, é usual representar o comportamento de um circuito por meio de algoritmos escritos em linguagens de programação, como C ou C++. Ignorando os problemas de entrada e de saída e assumindo que cada operação leva um ciclo de relógio e que a arquitetura do circuito deve seguir o modelo FSMD, de Gajsky (unidade de controle/unidade operativa), considere o problema de projetar um hardware que implemente o código acima apresentado. Com relação a essa situação, julgue os seguintes itens.
O número mínimo de registradores necessários para armazenar as variáveis do código é igual a três.
Provas
Disciplina: TI - Desenvolvimento de Sistemas
Banca: CESPE / CEBRASPE
Orgão: CTI

No projeto em alto nível de abstração, é usual representar o comportamento de um circuito por meio de algoritmos escritos em linguagens de programação, como C ou C++. Ignorando os problemas de entrada e de saída e assumindo que cada operação leva um ciclo de relógio e que a arquitetura do circuito deve seguir o modelo FSMD, de Gajsky (unidade de controle/unidade operativa), considere o problema de projetar um hardware que implemente o código acima apresentado. Com relação a essa situação, julgue os seguintes itens.
Levando-se em conta o problema do reescalonamento das operações, o código acima poderia ser executado em dois ciclos de relógio.
Provas
Com relação a ferramentas de CAD, julgue os itens a seguir.
As ferramentas de otimização lógica em dois níveis procuram reduzir ao máximo o número de transistores nos blocos p e n dos circuitos CMOS.
Provas
Com relação a ferramentas de CAD, julgue os itens a seguir.
As ferramentas de captura de esquemático são utilizadas para especificar a estrutura do circuito, instanciando e interconectando componentes por meio de um editor gráfico.
Provas
Com relação a ferramentas de CAD, julgue os itens a seguir.
As ferramentas de teste são empregadas para verificar se há erro na especificação do circuito.
Provas
Caderno Container