Foram encontradas 80 questões.
O IBGE divulgou a Síntese de Indicadores Sociais 2017 informando que um quarto da população brasileira (52,168 milhões de brasileiros) estava abaixo da linha de pobreza do Banco Mundial em 2016 e vivia com renda mensal de até R$ 387,07.
Com o objetivo de contribuir na política pública de combate às desigualdades sociais, a Lei Orgânica Nacional da Defensoria Pública estabelece que a Defensoria Pública do Estado prestará assistência jurídica aos necessitados e:
Provas
A Defensoria Pública é instituição permanente e essencial à função jurisdicional do Estado, incumbindo-lhe o exercício da assistência jurídica integral e gratuita custeada ou fornecida pelo Estado.
De acordo com a Lei Orgânica Nacional da Defensoria Pública (Lei Complementar nº 80/94), dentre suas funções institucionais, destaca-se a de:
Provas
A Ouvidoria-Geral é órgão auxiliar da Defensoria Pública do Estado e de promoção da qualidade dos serviços prestados pela instituição.
De acordo com a Lei Orgânica da Defensoria Pública do Estado do Rio de Janeiro, o Ouvidor-Geral:
Provas
Com o escopo de garantir às Defensorias Públicas dos Estados mecanismos que lhes possibilitem cumprir suas funções constitucionais, o ordenamento jurídico lhes assegurou autonomia funcional, administrativa e iniciativa para elaboração de sua proposta orçamentária.
Nesse sentido, em matéria orçamentária, consoante dispõe a Lei Orgânica Nacional, as Defensorias Públicas Estaduais:
Provas

Provas
- Hidráulica e HidrologiaHidráulica na Engenharia Civil
- Projeto e Execução de Rodovias e FerroviasDrenagem
A figura mostra um aquífero homogêneo confinado correndo transversalmente a dois rios paralelos. Na situação entre precipitações mostrada, o aquífero está alimentando os rios. Os estratos geológicos acima e abaixo do aquífero são considerados impermeáveis.
A condutividade hidráulica do aquífero é de 10-5 m/s.

Sabendo-se que a porosidade efetiva do aquífero é de 0,5, a velocidade real de propagação de água entre os grãos do aquífero, no trecho de 800 m entre os dois rios, é:
Usar Lei de Darcy.
Provas
Uma amostra de solo de 0,025 m3 apresenta peso específico dos sólidos ou dos grãos (γs) igual a 22,8 kN/m3 . Sabendo-se que, após secagem em estufa, a massa do solo é 30 kg, o índice de vazios dessa amostra é:
Considere a gravidade igual a 10 m/s2 .
Provas
A pavimentação intertravada com peças de concreto, destinada a áreas de armazenamento de produtos, ao tráfego de pedestres e de veículos dotados de pneus, deve possuir contenções que garantam a estabilidade do sistema. Com relação às condições para essas contenções, exigidas por norma, analise as afirmativas a seguir.
I. As contenções permanentes devem ser executadas após a camada de revestimento.
II. As contenções permanentes devem ser constituídas de estrutura rígida ou de dispositivos fixados na base do pavimento.
III. As vigas de contenção devem ser utilizadas em todo encontro do pavimento intertravado com outro tipo de pavimentação ou com via sem pavimentação.
Está correto o que se afirma em:
Provas
Em uma obra de pavimentação, o material para base do pavimento está sendo obtido de 6 jazidas com diferentes distâncias de transporte ao centro da obra, conforme os dados da tabela a seguir.

O valor da distância média de transporte para a obra é:
Provas
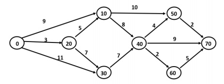
No controle da execução física de obras de engenharia, é muito comum o uso de redes PERT-COM. A figura 4 abaixo mostra um exemplo dessas redes, onde as atividades, representadas por setas, possuem duração em dias corridos expressa pelo número acima da seta. Os círculos mostram as incidências de início e término das atividades e o projeto se inicia em 0 e termina em 70.

O caminho crítico da rede é:
Provas
Caderno Container