Foram encontradas 60 questões.
Hospitalização de adolescentes por transtornos mentais aumenta e preocupa pediatras.
As internações hospitalares de adolescentes com idade de 10 a 14 anos motivadas por doenças mentais e comportamentais aumentaram 107% nos últimos dez anos no Sistema Único de Saúde (SUS), registrando quase 25 mil casos no período. Na faixa etária de 15 a 19 anos, foram mais de 130 mil internações em uma década.
Segundo levantamento da Sociedade Brasileira de Pediatria (SBP), elaborado com base em dados do Ministério da Saúde, o aumento das hospitalizações - muitas delas motivadas por quadros graves de transtorno de humor, estresse e outras doenças - pode estar relacionado a um aumento da incidência da chamada doença do século XXI: a depressão. No entanto, os pediatras não descartam a possibilidade também de maior procura pela assistência ou aperfeiçoamento das notificações.
Fonte: http://www.saudebrasilnet.com.br/noticias/hospitalizacao-deadolescentes-
por-transtornos-mentais-aumenta-e-preocupa-pediatras
Assinale a alternativa que apresenta, respectivamente, os sinônimos das palavras "motivadas" e "incidência" presentes no segundo parágrafo do texto.
Provas
Questão presente nas seguintes provas
É o processo pelo qual o disco embrionário, antes bilaminar, passa a ser trilaminar. Esse período é também chamado de morfogênese, pois é quando começa a formação do corpo.
O conceito acima refere-se a uma das principais fases do desenvolvimento do embrião humano. Assinale a alternativa que apresenta corretamente essa fase.
Provas
Questão presente nas seguintes provas
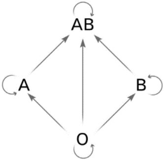
Observe o esquema abaixo.

Figura: Esquema representando as possíveis doações de sangue
que podem ocorrer entre indivíduos com diferentes grupos
sanguíneos. As setas indicam para quem os determinados grupos
podem doar. Fonte: Cíntia Fridman, USP.
De acordo com o esquema da figura e baseado em seus conhecimentos, assinale a alternativa incorreta.
Provas
Questão presente nas seguintes provas
De acordo com o Capítulo III do Código de Ética e Conduta da Empresa Brasileira de Serviços Hospitalares (EBSERH), sobre os compromissos de conduta, os princípios éticos e morais são fundamentais para o trabalho. Em relação ao Art. 6º, sobre os princípios e valores norteadores e compromissos de conduta, assinale a alternativa incorreta.
Provas
Questão presente nas seguintes provas
O sistema urinário retira do organismo, através da urina, as substâncias em excesso e os produtos residuais do metabolismo, contribuindo para a manutenção da homeostase, ou seja, da composição química do meio interno (JUNQUEIRA, L. C.; CARNEIRO, J.). Sobre o sistema urinário, analise as afirmativas abaixo:
I. A urina é produzida nos rins, passa pela uretra até a bexiga, onde é armazenada, e é lançada ao exterior por meio do ureter.
II. Os néfrons são as estruturas funcionais do rim e possuem como função produzir a urina.
III. A Oxitocina atua nos túbulos néfricos e nos ductos coletores, aumentando sua capacidade de reabsorção de água quando nosso organismo necessita dessa substância.
IV. A glicosúria ocorre quando a glicose do filtrado é excessiva, como em diabéticos, sua total absorção não é possível, sendo eliminada na urina.
V. A Nefrite é a inflamação aguda ou crônica de um dos rins, causada por agentes infecciosos, doenças autoimunes ou uso excessivo de remédios.
Assinale a alternativa correta.
Provas
Questão presente nas seguintes provas
A , proposta por Lynn Margulis, em 1981, propõe que as mitocôndrias se originaram da endocitose efetuada por um ancestral das células eucariotas de bactérias aeróbicas e os cloroplastos da endocitose de bactérias fotossintetizantes. Essa relação se tornou mutuamente benéfica para as células.
Assinale a alternativa que preencha corretamente a lacuna
Provas
Questão presente nas seguintes provas
Assinale a alternativa que não apresenta uma doença causada por endoparasitas intercelulares.
Provas
Questão presente nas seguintes provas
Para se determinar os números de fragmentos amostrais e os esforços amostrais (número de indivíduos amostrados em cada fragmento) ideais de uma amostragem em área de vegetação nativa, foi realizada uma simulação com os resultados apresentados na tabela abaixo.
| N=10 | N=15 | N=20 | N=40 | |
| s=10 | 0.62 | 0.79 | 0.90 | 1.00 |
| s=30 | 0.87 | 0.97 | 1.00 | 1.00 |
| s=60 | 0.94 | 0.99 | 1.00 | 1.00 |
| s=100 | 0.96 | 1.00 | 1.00 | 1.00 |
| s=500 | 0.98 | 1.00 | 1.00 | 1.00 |
Tabela: Proporção de resultados significativos para diferentes
tamanhos (n - número de fragmentos) e esforços
amostrais (s - ents por fragmento), para o modelo de
intercepto aleatório, a partir de 5000 simulações para
cada combinação de s e n.
Com base nesses resultados, com relação ao N e s, assinale a alternativa correta.
Provas
Questão presente nas seguintes provas
Observe a imagem abaixo sobre o ciclo de vida do Schistosoma Mansoni.

Figura: Ciclo de vida do Schistosoma Mansoni.
Fonte:pt.wikipedia.
De acordo com a figura e baseado em seus conhecimentos, analise as afirmativas abaixo:
I. O parasita entra em contato somente com um único hospedeiro, sendo classificado como ciclo de vida chamado monoxeno.
II. A cercaria é considerada um endoparasita.
III. O Schistosoma mansoni possui uma fase de vida que tem como hospedeiro intermediário o homem, e uma outra que tem como o hospedeiro definitivo o caramujo.
IV. O saneamento básico não impede a multiplicação do caramujo, cuja erradicação poderia ser uma medida preventiva.
Assinale a alternativa correta.
Provas
Questão presente nas seguintes provas
[Texto 1]
Trecho do artigo Trabalho e Existência produzido pelo Sesc São Paulo.
As atividades humanas designadas como trabalho, para além de seu caráter utilitário, também são responsáveis por construir identidades. Uma vez que organizam o tempo, determinam as relações entre os indivíduos e configuram sua autorrepresentação, torna-se compreensível que nos entendamos em função das atividades laborais que exercemos.
Catálogo impresso Publicação Sesc SP - Nós, criação,
trabalho e cidadania. Novembro de 2019.
[Texto 2]

Fonte: https://miro.medium.com/max/1428/1*KnVD0-
e3SVhEsygcJ6L-mg.jpeg
Assinale a alternativa que indica o sentido correto do emprego do termo "para" no trecho: "Trabalhar para ganhar a vida".
Provas
Questão presente nas seguintes provas
Cadernos
Caderno Container