Foram encontradas 562 questões.
Analise as eletronegatividades dos elementos a seguir:

Nesse contexto, a menor polaridade ocorre para a ligação química do elemento hidrogênio com o elemento
Provas
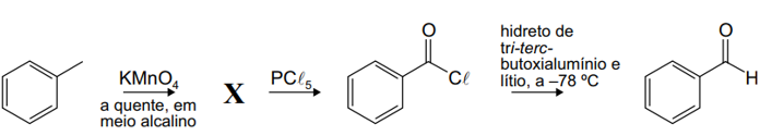
Observe o esquema a seguir que representa a obtenção de um aldeído partindo do metilbenzeno:

Nesse esquema, X possui a função orgânica
Provas
Observe a imagem a seguir:

Ácido cítrico
Considerando que na formulação de 200 g de um xampu foi utilizado 0,5%, em massa, de ácido cítrico (M = 192 g.mol–1), o volume mínimo, em mL, de NaOH 0,10 mol.L–1 que deve ser utilizado para neutralizar completamente o ácido cítrico contido em 10,0 g de xampu é de, aproximadamente,
Provas
- Química InorgânicaSoluções e Substâncias InorgânicasSoluções: características, tipos de concentração, diluição, mistura, titulação e soluções coloidais
Ácido clorídrico pró-análise possui concentração de 36,5% em massa e densidade 1,20 g.cm–3. Para preparar 1,0 L de solução diluída de ácido clorídrico, HC\( ℓ \), de concentração 1,0 mol.L–1, deve ser utilizado o volume do ácido pró-análise de, aproximadamente,
Provas
Para determinar a pureza em carbonato de cálcio, CaCO₃, no mineral calcita, uma amostra de 2,00 g desse mineral foi submetida a aquecimento para decomposição do carbonato de cálcio. O resíduo da decomposição da amostra apresentou massa igual a 1,34 g. Considerando que a impureza da amostra não se decompôs nas condições do aquecimento e que todo o carbonato de cálcio da amostra se transformou em CaO e CO₂, o percentual de carbonato de cálcio nessa amostra de calcita era igual a
Provas
A aviação é responsável por aproximadamente 2% de todas as emissões globais de dióxido de carbono (CO₂), liberando 880 milhões de toneladas desse gás na atmosfera todos os anos. Considerando que o volume molar de qualquer gás nas condições ambientais de temperatura e pressão (CATP) é 25 L.mol–1, o volume, em m3, de CO₂ que corresponde à quantidade liberada anualmente pela aviação, nas CATP, é de, aproximadamente,
Provas
Considere o texto e a figura a seguir:
As células solares de hoje, feitas de silício, ainda geram resíduos, mas as da próxima geração tecnológica, com outro mineral, a perovskita (CaTiO3 ), talvez sejam totalmente recicláveis. Em laboratório, após repetidos processos de reciclagem, os dispositivos mostraram eficiência e estabilidade semelhantes à dos novos.
(Disponível em: https://revistapesquisa.fapesp.br/celulas-solares-reciclaveis/)
Esta figura representa a célula unitária da perovskita, que contém uma fórmula unitária:

(Disponível em: https://www.electricalelibrary.com/2024/11/21/perovskita-o-novo-material-da-energia-solar/)
Considerando as informações apresentadas, é correto afirmar que o número de oxidação do titânio na perovskita e a posição que o oxigênio ocupa na sua célula unitária são
Provas
Considere os diagramas de temperatura-composição para dois azeótropos diferentes a seguir:

(Atkins, P. et al. Princípios de Química: questionando a vida moderna e o meio ambiente, 2012)
Quando essas misturas são separadas por destilação fracionada, a mistura azeotrópica em I é obtida como destilado ___________ por ser ___________ volátil, enquanto em II, a mistura azeotrópica tem pressão de vapor mais ___________ dos que os seus componentes separadamente.
As lacunas são preenchidas, correta e respectivamente, por:
Provas
Nos termos do entendimento das súmulas e orientações jurisprudenciais do TST, assinale a alternativa correta acerca do cabimento e dos efeitos do recurso ordinário no processo trabalhista.
Provas
Relativamente aos dissídios individuais no processo trabalhista, assinale a alternativa correta nos termos da CLT.
Provas
Caderno Container