Foram encontradas 25 questões.
Sobre Banco de Dados NoSQL, pode-se afirmar que
Provas
O método típico de imposição de controle de acesso discricionário em um sistema de gerenciamento de banco de dados relacional é baseado na concessão e na revogação de privilégios. Essa concessão ou revogação pode ser dada por meio de código SQL usando comandos como GRANT, REVOKE e GRANT OPTION. Nesse contexto, considere a seguinte situação: um proprietário A de uma relação R concede um privilégio sobre R para outra conta B. O privilégio pode ser dado a B com ou sem o GRANT OPTION. Assinale a alternativa correta, no que diz respeito ao comando GRANT OPTION.
Provas
Em relação aos Bancos de Dados NoSQL, alguns modelos de dados se destacam, como por exemplo, o banco de dados chave-valor, o banco de dados de documentos, o armazenamento em famílias de colunas e o banco de dados em grafos. Assinale a alternativa correta que descreve o conceito do banco chave-valor:
Provas
A arquitetura de três-esquemas de um SGBD serve, dentre outras finalidades, para demonstrar a separação entre o usuário e a aplicação do banco de dados físico. Os esquemas, geralmente chamados de níveis, podem ser definidos em três: nível interno, conceitual e de visão. Sobre o nível interno, pode-se afirmar que
Provas
As Tabelas 1 e 2 a seguir apresentam, respectivamente, os registros existentes em funcionario e setor. Já a Tabela 3 representa um relacionamento de muitos-para-muitos entre as Tabelas 1 e 2.
codigo | nome | sexo |
1 | JOÃO PEDRO DUTRA | M |
2 | MARIA PAULA VALENTE | F |
3 | JOSÉ MARIA ALBUQUERQUE | M |
4 | PAULA SOUZA | F |
Tabela 1. Tabela funcionario
codigo | descricao |
1 | ATENDIMENTO |
2 | RECURSOS HUMANOS |
Tabela 2. Tabela setor
codigo | codigo_setor | codigo_funcionario | dia_da_semana |
1 | 1 | 1 | 2 |
2 | 2 | 2 | 3 |
3 | 2 | 3 | 5 |
Tabela 3. Tabela setor_funcionario
Considere a Tabela 4 a seguir:
descricao | nome | dia |
ATENDIMENTO | JOÃO PEDRO DUTRA | 2 |
RECURSOS HUMANOS | MARIA PAULA VALENTE | 3 |
RECURSOS HUMANOS | JOSÉ MARIA ALBUQUERQUE | 5 |
Tabela 4. Resultado do código SQL
Escolha o código SQL que produzirá uma saída com registros apresentados na Tabela 4, independentemente da ordem de apresentação desses registros.
Provas
Analise as afirmações dadas a seguir, que abordam a teoria de Mapeamento Objeto-Relacional.
1. Uma hierarquia de generalização/especialização, como aquelas presentes nos casos de herança da orientação a objetos, que possui mais de um nível requer, obrigatoriamente, mais de uma tabela para ser adequadamente representada em bancos de dados relacionais.
2. Uma hierarquia de generalização/especialização, como aquelas presentes nos casos de herança da orientação a objetos, pode ser representada adequadamente em bancos de dados relacionais utilizando uma única tabela, independentemente do número de níveis existentes nessa hierarquia.
3. O mapeamento objeto-relacional é uma das formas de se integrar programas desenvolvidos em linguagens de programação orientadas a objetos com bancos de dados relacionais.
Dentre todas as afirmações apresentadas, estão corretas:
Provas
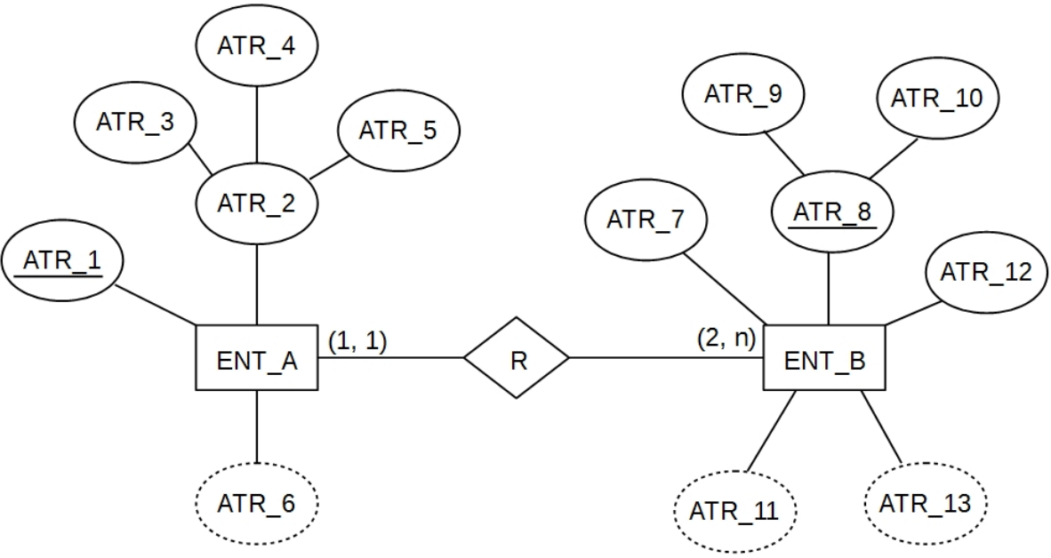
O diagrama a seguir servirá de base para a questão 18.

Com base no Diagrama de Entidade-Relacionamento apresentado, analise as afirmações dadas a seguir.
1. a entidade de nome ENT_A possui um atributo composto.
2. a entidade de nome ENT_B possui dois atributos compostos.
3. a chave primária (ou atributo-chave) da entidade de nome ENT_A é composta.
4. a chave primária (ou atributo-chave) da entidade de nome ENT_B é composta.
5. há uma relação de um-para-muitos entre as entidades ENT_A e ENT_B.
6. há uma relação de muitos-para-muitos entre as entidades ENT_A e ENT_B.
Dentre todas as afirmações apresentadas, estão corretas:
Provas
São práticas do método de desenvolvimento ágil XP – Extreme Programming:
1. cada desenvolvedor implementa apenas em uma área específica.
2. cliente on-site.
3. desenvolvimento de testes somente após a conclusão da implementação de alguma funcionalidade.
4. programação em pares.
5. refactoring
Com base nas 5 afirmações, escolha a alternativa a seguir em que todas as afirmações corretas são apresentadas:
Provas
O diagrama a seguir servirá de base para a questão 16.

Com base no Diagrama de Classes apresentado, analise as afirmações dadas a seguir.
1. Há classe associativa no diagrama.
2. A relação entre as classes 2 e 3 é chamada de composição.
3. Um objeto da classe 5 contém os atributos 5, 6, 7 e 8.
4. Há somente atributos privados na classe 1.
5. Um objeto da classe 8 pode se relacionar com um ou muitos objetos da classe 1.
6. Há um atributo estático no diagrama.
Dentre todas as afirmações apresentadas, estão corretas:
Provas
Para conduzir um projeto de software bem-sucedido, deve-se compreender o escopo do trabalho a ser feito, os riscos em que se incorrem, os recursos exigidos, as tarefas a serem executadas, os marcos de referência a serem acompanhados, o esforço (custo) despendido e a programação a ser seguida. A seguir são listadas 3 técnicas que podem ser usadas na gerência e planejamento de projetos:
I. Gráfico de Gantt: utilizado para mostrar um calendário de projeto e as datas de início e fim das atividades.
II. PERT (Program Evaluation and Review Technique) e o CPM (Critical Path Method): são métodos de determinação de cronogramas que podem ser aplicados no desenvolvimento do software.
III. COCOMO básico: é um modelo dinâmico de valor simples que computa o esforço (e custo) de desenvolvimento de software como uma função do tamanho de programa expresso em funcionalidades.
Dentre as definições apresentadas, estão corretas:
Provas
Caderno Container