Foram encontradas 266 questões.
1001525
Ano: 2019
Disciplina: Agronomia (Engenharia Agronômica)
Banca: IF-Sertão
Orgão: IF Sertão
Disciplina: Agronomia (Engenharia Agronômica)
Banca: IF-Sertão
Orgão: IF Sertão
Provas:
Um profissional da área de agroindústria de alimentos abriu uma fábrica de pastéis recheados, congelados, prontos para fritar. Com o aumento das vendas, decidiu criar recheios inéditos, como o de carne de ovelha. Porém, antes do lançamento da novidade, observou-se que seria necessária a avaliação da receptividade desse novo produto no mercado.
No contexto dessa situação hipotética, assinale a opção que apresenta o teste sensorial adequado a ser aplicado:
Provas
Questão presente nas seguintes provas
990139
Ano: 2019
Disciplina: Agronomia (Engenharia Agronômica)
Banca: IF-Sertão
Orgão: IF Sertão
Disciplina: Agronomia (Engenharia Agronômica)
Banca: IF-Sertão
Orgão: IF Sertão
Provas:
Em um estudo publicado em 2015, na revista científica “Innovative Food Science and Emerging Technologies” (volume 31, páginas 14 a 27), foram listadas 12 tecnologias inovadoras para conservação de alimentos. Uma das tecnologias mencionadas consiste em submeter o alimento a pressões maiores que 600 Mpa, em temperatura ambiente, para inativar formas vegetativas de bactérias, fungos e leveduras. Este processo consiste numa alternativa à utilização de processos térmicos tradicionais como pasteurização, evitando a destruição de componentes do alimento pelo calor.
Texto adaptado de Food SafetyBrazil (2016), disponível em: https://foodsafetybrazil.org/novas-tecnologias-no-processamento-de-alimentos-tendencias-para-o-futuro/
Com base na descrição do texto, assinale a única alternativa que corresponde à técnica de processamento de alimentos citada:
Provas
Questão presente nas seguintes provas
989449
Ano: 2019
Disciplina: Literatura Brasileira e Estrangeira
Banca: IF-Sertão
Orgão: IF Sertão
Disciplina: Literatura Brasileira e Estrangeira
Banca: IF-Sertão
Orgão: IF Sertão
Provas:
Textos V e VI para a questão.
Texto V
No dicionário está dito que 'migalhas' são apenas uns pedacinhos de nada, umas porções bem pequenas, de biscoito, bolo ou pão que às vezes caem no chão e até no prato da gente.
Mas é bom não esquecer que a palavra pode ter sentido bem diferente
Fragmento de Migalhas, J. Borges.
Texto VI
Vamos atentar para a sintaxe dos paulistas
E o falso inglês relax dos surfistas
Sejamos imperialistas! Cadê?
Sejamos imperialistas!
Vamos na velô da dicção choo-choo de Carmem Miranda
E que o Chico Buarque de Holanda nos resgate
E (xeque-mate) explique-nos Luanda
Ouçamos com atenção os deles e os delas da TV Globo
Sejamos o lobo do lobo do homem
Lobo do lobo do lobo do homem
Fragmento de Língua, Caetano Veloso
Ao relacionar os textos V e VI, é possível afirmar que:
Provas
Questão presente nas seguintes provas
989425
Ano: 2019
Disciplina: Agronomia (Engenharia Agronômica)
Banca: IF-Sertão
Orgão: IF Sertão
Disciplina: Agronomia (Engenharia Agronômica)
Banca: IF-Sertão
Orgão: IF Sertão
Provas:
Em todos os processos para obtenção de alimentos derivados de frutas e hortaliças, a desinfecção com água clorada (adição de hipoclorito de sódio) é uma das etapas utilizadas. Considerando que no processamento de uma determinada fruta recomenda-se a imersão em água clorada a 150 ppm (mg/L) de cloro ativo por 15 min, com base nessa recomendação, um profissional em alimentos pretende preparar 100 litros de água clorada com 150 ppm de cloro ativo, a partir de uma solução de hipoclorito de sódio que contém 2% (20 g/L) de cloro ativo. Nessa situação, a quantidade correta de solução de hipoclorito de sódio a ser adicionada à água é:
Provas
Questão presente nas seguintes provas
Texto X para a questão.

Levando-se em conta o texto X, é possível inferir:
Provas
Questão presente nas seguintes provas
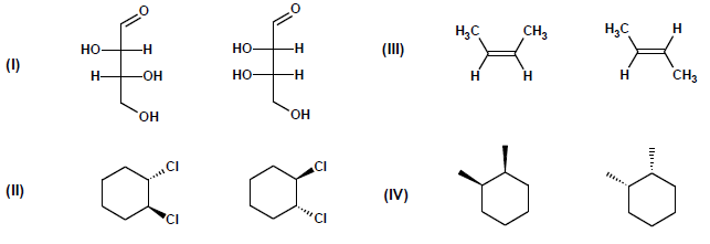
Com relação à estereoquímica das moléculas, analise os pares de estruturas químicas abaixo e determine a sua relação estereoisomérica.

Provas
Questão presente nas seguintes provas
No tocante ao emprego da literatura popular em sala de aula, pode-se afirmar que o cordel apresenta características que o qualificam como elemento facilitador do processo ensino-aprendizagem, sobretudo:
Provas
Questão presente nas seguintes provas
916570
Ano: 2019
Disciplina: Agronomia (Engenharia Agronômica)
Banca: IF-Sertão
Orgão: IF Sertão
Disciplina: Agronomia (Engenharia Agronômica)
Banca: IF-Sertão
Orgão: IF Sertão
Provas:
Em termos nutricionais, podemos definir o leite como um alimento completo, uma vez que a sua composição apresenta água, gordura, proteínas, carboidratos e sais minerais. Sabemos que a composição do leite pode variar em função de diversos fatores, extrínsecos e intrínsecos ao animal. Contudo é salutar afirmar que a média da composição do leite é assim distribuída quantitativamente:
Provas
Questão presente nas seguintes provas
Leia o texto abaixo.
A avaliação não pode, pois, se limitar a uma apreciação sobre o desenvolvimento e a aprendizagem dos alunos. Ela deve levar a uma revisão dos conteúdos selecionados, do método utilizado, das atividades realizadas, das relações estabelecidas em sala de aula, ou seja, a uma revisão do ensino, pois não existe melhor critério para avaliar a eficácia do ensino do que a aprendizagem dos alunos. (ANDRÉ; PASSOS, 2018).
Diante do exposto, podemos considerar que a avaliação:
Provas
Questão presente nas seguintes provas
894873
Ano: 2019
Disciplina: Legislação Específica das Agências Reguladoras
Banca: IF-Sertão
Orgão: IF Sertão
Disciplina: Legislação Específica das Agências Reguladoras
Banca: IF-Sertão
Orgão: IF Sertão
Provas:
Conforme Resolução RDC nº 216, de 15 de setembro de 2004, emitida através da Agência Nacional de Vigilância Sanitária (ANVISA), que dispõe sobre Regulamento Técnico de Boas Práticas para Serviços de Alimentação, podemos afirmar que:
Provas
Questão presente nas seguintes provas
Cadernos
Caderno Container