Foram encontradas 80 questões.
Passivos espontâneos originam-se das atividades rotineiras da organização, apresentando 02 (duas) principais fontes espontâneas de financiamento de curto prazo. Quais são?
Provas
O Índice de Liquidez Corrente (ILC) mede a capacidade da empresa de saldar suas obrigações de curto prazo. Quando o ILC calculado é menor do que 1,0, pode se afirmar que:
Provas
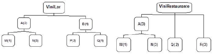
Os produtos ViniLar e ViniRestaurante são produzidos e comercializados pela empresa QueVini Ltda. As estruturas analíticas dos dois produtos estão representadas pela figura a seguir:

A QueVini acaba de receber uma encomenda de 2800 unidades de ViniLar e 1950 de ViniRestaurante. A tabela e as observações a seguir contemplam as demais informações necessárias para os cálculos.
| Item |
Estoque Atual |
Estoque Mínimo |
Atendimento Semanal |
Quantidade Requerida QR = D - EA + EM |
Prazo Requerido PR = QR/AS |
Início = Fim - PR |
Fim |
| Vinilar | 700 | 300 | 400 | ||||
| ViniRestaurante | 500 | 150 | 800 | ||||
| A | 800 | 800 | 1200 | ||||
| B | 700 | 300 | 500 | ||||
| M | 1300 | 1000 | 1500 | ||||
| N | 900 | 3100 | 1000 | ||||
| P | 1000 | 600 | 600 | ||||
| Q | 800 | 1100 | 500 | ||||
| R | 600 | 500 | 1000 |
- Na coluna “Atendimento Semanal” está informada a quantidade produzida por semana do respectivo item.
- Um dos insumos precisa ser comprado AGORA, no instante ZERO.
- A produção de um item só inicia quando o estoque de seus insumos estiver totalmente completo. Exemplo: a produção de A só começa depois que os fornecedores dos insumos M e N entregarem completamente os respectivos pedidos, mesmo existindo Estoque Mínimo.
- A produção de ViniLar e ViniRestaurante ocorrem simultaneamente por usarem equipamentos distintos. Porém somente iniciam após a completa entrega do insumo A para atender a ambos, ou seja, começam na mesma data.
Assinale a alternativa que corresponde corretamente as quantidades e prazos obtidos a partir das informações enunciadas.
Provas
Uma determinada fábrica tem apenas uma máquina para produzir o Produto IF. Por um esforço adicional da Área de Vendas, surgiu a necessidade de atender cinco (5) pedidos. O Supervisor de Programação e Controle da Produção (PCP) analisou os pedidos. A seguir estão os critérios utilizados para a análise.
I. O número de dias para produzir a quantidade do Produto IF para cada pedido.
II. O dia 20/06/2016 será a data inicial para iniciar a produção.
III. A data prometida para entrega foi informada pela Área de Vendas, de acordo com a negociação com o cliente.
IV. A máquina desta fábrica só pode produzir um pedido por vez.
Baseado nestes critérios, o Supervisor de PCP elaborou o quadro a seguir, sendo que a ordem dos pedidos corresponde a ordem de entrada deles.
| PEDIDO | TEMPO DE MÁQUINA | DATA PROMETIDA PARA ENTREGA |
|
1º Cliente: A |
12 dias |
20/07/2016 |
|
2º Cliente: B |
25 dias |
18/07/2016 |
|
3º Cliente: C |
04 dias |
28/06/2016 |
|
4º Cliente: D |
08 dias |
02/07/2016 |
|
5º Cliente: E |
22 dias |
01/08/2016 |
Sendo todos os clientes de igual importância para os negócios da fábrica, assinale a alternativa que corresponde às Regras de Sequenciamento de Tarefas que minimizará o número de pedidos atrasados.?
Provas
A definição sistemática e quantitativa do conteúdo dos cargos que a análise de cargos fornece, permite aos gestores de RH uma melhor adequação as suas práticas e melhora nos procedimentos de recrutamento e seleção. Hoje em dia, no Brasil e no mundo, existe uma forte tendência de terceirização de empresas de R&S, para dirimirem processos de contratação, buscando com isto, muitas vezes, o aumento de possibilidades de candidatos qualificados e a redução de custos gerais com o processo como um todo. Em geral é claro que ainda existem empresas que promovem seus próprios processos de R&S sendo que, para executá-los, estas precisam definir quais serão estes métodos a serem aplicados, visando a obtenção de um melhor resultado. Logo, pensando nisto, assinale a alternativa que apresenta os cinco métodos mais populares e conhecidos empregados em metodologias de análises de cargos.
Provas
Na era da gestão da qualidade as organizações passaram a dar ênfase ao cliente, visualizando-o como o centro das atenções, gerando produtos e ações que possam vir a satisfazer suas necessidades e expectativas. Contudo, para haver um real gerenciamento da qualidade são necessários conhecimentos de diversas áreas e níveis da organização, pois mesmo com definições diferentes, Deming e Juran concordam que tal processo deve ocorrer de cima para baixo. Em que mais estes dois estudiosos concordam em seus pressupostos?
Provas
Pode ser apontada como a maior expectativa do processo de aprendizagem organizacional:
Provas
Governança corporativa é um sistema usado para dirigir e controlar uma sociedade por ações, que através destas ações busca definir direitos e deveres aos agentes da empresa, tais como acionistas, conselho de administração, diretores, gestores e interessados, além das regras e procedimentos de tomada de decisão empresarial. Este sistema em geral costuma especificar a estrutura decisória, que estabelece objetivos, planos de ação e procedimentos de monitoramento do desempenho da empresa. Assinale a alternativa que corresponde aosmembros que compõem a estrutura típica de uma empresa com este sistema.
Provas
Sobre Provisão de Recursos Humanos, leia com atenção as seguintes assertivas:
I. O Recrutamento é o processo de escolher o melhor candidato para um cargo vago na empresa.
II. No Recrutamento são coletados currículos de potenciais candidatos para formar uma base de dados da qual será possível convidar aqueles que participarão de futuros processos seletivos.
III. A Seleção é o processo pelo qual se escolhe o candidato mais adequado para ocupar uma vaga na organização.
IV. No processo seletivo, a entrevista é uma técnica ineficiente e ineficaz, não sendo recomendado seu uso.
V. Tanto para o Recrutamento quanto para a Seleção, informações a respeito da escolaridade e da experiência profissional são imprescindíveis durante o processo.
Considerando a Administração de Recursos Humanos, assinale a alternativa correta.
Provas
Assinale a alternativa que preenche correta e respectivamente as lacunas do seguinte texto relacionado aos Fatores Organizacionais segundo Herzberg:
“O fator é aquele cuja ausência causa reações neutras. Já o fator é aquele cuja ausência causa insatisfação com o trabalho”.
Provas
Caderno Container