Foram encontradas 40 questões.
Leia, com atenção, o excerto abaixo:
“Outro saber necessário à prática educativa (...) é o que fala do respeito devido à autonomia do ser do educando. Do educando criança, jovem ou adulto. Como educador, devo estar constantemente advertido com relação a este respeito que implica igualmente o que devo ter por mim mesmo. (...) O respeito à autonomia e à dignidade de cada um é um imperativo ético e não um favor que podemos ou não conceder uns aos outros.” (Freire, 2019, p. 58)
Paulo Freire discute alguns saberes necessários à prática educativa a partir de uma perspectiva progressista, tendo a autonomia do educando como um dos aspectos centrais. Para atuar de modo coerente com esse princípio, o educador, com base em Freire, deve:
Provas
A educação abrange os processos formativos que se desenvolvem na vida familiar, na convivência humana, no trabalho, nas instituições de ensino e pesquisa, nos movimentos sociais e organizações da sociedade civil e nas manifestações culturais. A educação escolar se desenvolve, predominantemente, por meio do ensino, em instituições próprias. A preparação geral para o trabalho e a habilitação profissional poderão ser desenvolvidas nos próprios estabelecimentos de ensino médio ou em cooperação com instituições especializadas em educação profissional.
Fonte: Adaptação da LBD - Lei n. 9.394/1996
Com base na Lei de Diretrizes e Bases da Educação Nacional – Lei n. 9.394/1996, a educação profissional e tecnológica abrange:
Provas
A Constituição Federal, em seu capítulo IV, trata da questão da ciência, tecnologia e inovação na ordem estatal brasileira. Não obstante, o Instituto Federal de Educação, Ciência e Tecnologia também organiza suas ações baseadas nesse mandamento constitucional por meio do ACTec: Programa de Apoio à Ciência e Tecnologia do IFSP. A Pró-Reitoria de Pesquisa e Pós-Graduação do IFSP aprovou o Programa de Apoio à Ciência e Tecnologia do IFSP (PACTec) no Conselho de Pesquisa, Inovação e Pós-Graduação, visando a angariar recursos para pagar bolsas para nossos estudantes participarem de projetos de pesquisa, inovação e extensão, bem como apoiá-los a participar de eventos científicos e tecnológicos.
Fonte: IFSP. Texto adaptado, disponível em: https://www. ifsp.edu.br/acoes-e-programas/83-pesquisa/4352-programa-de-apoio-a-ciencia-e-tecnologia-pactec-do-instituto-federal-de-sao-paulo, acesso em 15 de ago. 2024.
Sobre a função do Estado brasileiro no tema tratado, pode-se afirmar que:
Provas
De acordo com a Lei n. 8.112/1990, que dispõe sobre o regime jurídico dos servidores públicos civis da União, das autarquias e das fundações públicas federais, a autoridade que tiver ciência de irregularidade no serviço público é obrigada a promover a sua apuração imediata, mediante sindicância ou processo administrativo disciplinar, assegurada ao acusado ampla defesa. Na sindicância, a apuração administrativa poderá resultar:
Provas
De acordo com a Lei n. 8.429/1992, constitui um dos Atos de Improbidade Administrativa que causa prejuízo ao erário:
Provas
Faça a leitura do Art. 4º, da Lei n. 12.711/2012, a seguir:
“Art. 4º - As instituições federais de ensino técnico de nível médio reservarão, em cada concurso seletivo para ingresso em cada curso, por turno, no mínimo 50% (cinquenta por cento) de suas vagas para estudantes que cursaram integralmente o ensino fundamental em escolas públicas.”
Fonte: Lei n. 12.711/2012. Disponível em: https://www. planalto.gov.br/ccivil_03/_ato2011-2014/2012/lei/l12711. htm. Acesso em: 21 ago. 24.
Após a leitura do artigo, analise, com atenção, a situação abaixo:
Joana é aluna do 9º ano do Ensino Fundamental de uma escola pública de Barretos, onde estuda desde o 1º ano. Desejando estudar no Instituto Federal de São Paulo (IFSP), Joana pediu a seus responsáveis que buscassem, juntos, informações mais detalhadas sobre o processo seletivo para o curso técnico em Alimentos integrado ao Ensino Médio, ofertado pelo Campus Barretos do IFSP.
Considerando a Lei n. 12.711/2012, que “Dispõe sobre o ingresso nas universidades federais e nas instituições federais de ensino técnico de nível médio e dá outras providências” (e suas alterações), a informação correta que Joana e seus responsáveis receberão é a de que,
Provas
A carreira de Professor do Ensino Básico, Técnico e Tecnológico é disciplinada pela Lei n. 12.772/2012. No que tange a sua estrutura, acesso, promoção e progressão funcional, é correto dizer:
Provas
De acordo com a Lei n. 11.892/2008 (Lei que Institui a Rede Federal de Educação Profissional, Científica e Tecnológica, cria os Institutos Federais de Educação, Ciência e Tecnologia, e dá outras providências.), a administração dos Institutos Federais possui os seguintes órgãos superiores:
Provas
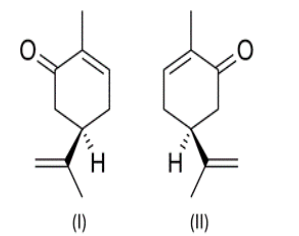
A molécula de carvona é um monoterpenoide de fórmula molecular C10H14O que existe principalmente em duas formas enantioméricas, a R-carvona e a S-carvona. Essas duas formas têm aromas distintos devido à sua interação com diferentes receptores olfativos. Por exemplo, a R-Carvona é o principal composto encontrado no óleo de cominho, responsável por seu odor característico. Já a S-Carvona é encontrada no óleo de hortelã-pimenta e tem um aroma semelhante ao de hortelã.

Fonte: IFSP, 2024.
Com base nessas informações, é correto afirmar que:
Provas
Um alcano de massa molar igual a 142 g mol-1 possui dois carbonos secundários.
Use C = 12 g mol-1 e H = 1 g mol-1 como respectivas massas molares e assinale a alternativa que corresponda a um dos possíveis isômeros:
Provas
Caderno Container