Foram encontradas 40 questões.
- Agentes PúblicosCargos, Empregos e Funções PúblicasAcessoConcurso Público
- Agentes PúblicosCargos, Empregos e Funções PúblicasFormas de Provimento
- Lei 8.112/1990: RJU
Provas
Provas
Provas
Provas
Provas
Provas
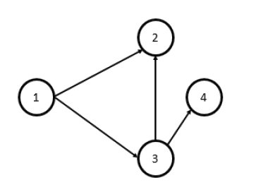
A partir da análise do grafo abaixo,

é correto afirmar que:
Provas
Analise o código fonte em linguagem Java, e as afirmativas abaixo, e marque (V) para verdadeiro ou (F) para falso.

( ) A operação demo.addition (a, b), apresentada na função main, não pode ser realizada, visto que a classe My_Calculation não possui o método addition.
( ) A classe My_Calculation é construtora do objeto demo. Sendo um construtor responsável por inicializar os atributos do objeto instanciado.
( ) A classe My_Calculation define uma operação a qual armazena o resultado da multiplicação de x por y na variável z. No entanto, a variável z não foi declarada na classe My_Calculation. Por consequência, produzirá um erro quando o código for compilado.
Provas
Provas
Provas
Caderno Container