Foram encontradas 40 questões.
As baterias de Ag/Zn são formadas por óxido de prata, zinco metálico e uma solução aquosa de um hidróxido de metal alcalino, como o KOH. A esse respeito, analise as semirreações abaixo.
!$ Zn^{2+} + 2 e^- \rightleftharpoons Zn \ E'^o= - 0,76V \\ Ag^+ e^- \rightleftharpoons \ E'^o= 0,80V !$
Com base nessas semirreações, pode-se afirmar, corretamente, que
Provas
Questão presente nas seguintes provas
Diversos compostos organometálicos são empregados em síntese orgânica, sendo muito úteis em metodologias de construção de ligações carbono-carbono. Nestes compostos, o átomo de carbono tem caráter nucleofílico, e a ligação carbono-metal pode ter maior caráter covalente ou iônico. Organolitiados (ligação C-Li) e organomagnesianos (ligação C-MgX) são muito empregados, enquanto o uso de organosódios (C-Na) é raro. A partir desses dados, está correto afirmar que o(s)
Provas
Questão presente nas seguintes provas
A rancificação hidrolítica (formação de ácidos graxos a partir da hidrólise de triglicerídeos) em alimentos pode ser avaliada por titulometria de neutralização, empregando uma solução básica de concentração conhecida, sendo que o teor máximo de acidez aceitável para consumo humano é de 3 mmol% (3 mmol em 100 g de material). Uma amostra de manteiga foi analisada da seguinte forma: 100 g deste alimento foram fundidos e, após a separação das fases, 5 g da camada gordurosa foram transferidos para um erlenmeyer e dissolvidos em 40 mL de uma mistura etanoléter etílico (1:2) previamente neutralizada com solução de NaOH 0,1 mol/L. Após essa etapa, adicionaram-se algumas gotas de solução de fenolftaleína e gotejou-se, através de uma bureta, solução de NaOH 0,12 mol/L até o surgimento de coloração rósea persistente, sendo que, para isso, foram gastos 0,85 mL dessa solução. Com base neste experimento, pode-se afirmar, corretamente, que a(o)
Provas
Questão presente nas seguintes provas
Observe o esquema abaixo.

Esta reação é uma condensação aldólica, em que o meio básico gera um carbânion a partir da acetona, que, por sua vez, reage preferencialmente com o benzaldeído. Isto acontece porque o(a)
Provas
Questão presente nas seguintes provas
A redução de 2-isopropilciclo-hexanona pelo complexo borana-THF, empregando tetra-hidrofurano (THF) como solvente, gera dois produtos, sendo um deles denominado principal por ser formado em maior proporção que o outro.

Analisando esta reação, considere as afirmações a seguir. O produto principal tem estereoquímica relativa cis, devido ao ataque nucleofílico do agente redutor pela face do anel ciclo-hexano oposta àquela onde se localiza a cadeia isopropila.
PORQUE
esta cadeia exerce um impedimento estereoeletrônico desta face, favorecendo a aproximação do nucleófilo pela face oposta. A esse repeito, conclui-se que
Provas
Questão presente nas seguintes provas
O ângulo de ligação H-C-H no metano é de 109,5°, enquanto que o ângulo H-N-H na amônia é de 108° e o ângulo H-O-H na água é de 104,5°. Esta variação pode ser explicada pelo(a )
Provas
Questão presente nas seguintes provas
Um aluno de Química, durante o desenvolvimento de seu projeto de curso, precisa acompanhar a formação de álcool 4-nitrobenzílico a partir da redução de 4-nitrobenzaldeído, com hidreto de boro e sódio em metanol.

Como método para este acompanhamento, ele escolheu a cromatografia líquida de alta eficiência (CLAE ), empregando uma coluna de fase reversa (octadecilsilano) como fase estacionária, uma mistura de acetonitrila e água como fase móvel e detector de absorção de luz ultravioleta (254 nm). Após quinze minutos de reação, o aluno injetou uma alíquota da reação, obtendo o seguinte cromatograma:

Após interpretar o cromatograma, o aluno levantou as hipóteses a seguir.
I – O pico A corresponde ao 4-nitrobenzaldeído, já que, por ser mais polar que o álcool 4-nitrobenzílico, terá menor tempo de retenção em uma coluna de fase reversa.
II – Apesar de a reação não estar finalizada, ela está próxima do final, já que há dois picos no cromatograma, e a concentração do produto é maior que a do reagente.
III – A escolha do comprimento de onda de 254 nm pode ser justificada pelo fato de o cromóforo principal, nos dois compostos em questão, ser o mesmo, possibilitando a análise em um único comprimento de onda.
É(São) correta(s) APENAS a(s) hipótese(s)
Provas
Questão presente nas seguintes provas
A cadeia respiratória e a fermentação lática são dois processos metabólicos que dependem da produção de piruvato a partir da glicose. Ao longo destes processos, são sintetizadas moléculas de ATP, que atuam como reservatório de energia química para os processos celulares, e espécies redutoras como NADH2+ e FADH. Na cadeia respiratória, o oxigênio molecular (O2 ) é convertido em água, enquanto que, na fermentação lática, o piruvato dá origem ao lactato.

Em relação a estes processos bioquímicos, são feitas as afirmativas a seguir.
I – O piruvato e o oxigênio são aceptores finais de elétrons na fermentação lática e na cadeia respiratória, respectivamente, sendo reduzidos por NADH2 + e/ou FADH.
II – A redução do piruvato e do O2 permite a continuidade dos ciclos intracelulares de produção de energia, já que regeneram NAD+ e FAD, cofatores de disponibilidade limitada na célula.
III – Na ausência de O2 , a célula pode utilizar piruvato como aceptor final de elétrons na cadeia respiratória, mantendo ativo o ciclo de produção celular de ATP.
É(São) correta(s) APENAS a(s) afirmativa(s)
Provas
Questão presente nas seguintes provas
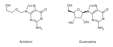
Os vírus utilizam os sistemas de expressão e transmissão gênicas dos seus hospedeiros para se propagarem. O vírus da herpes (HSV), por exemplo, possui DNA (ácido desoxirribonucleico) como material genético que, após ser introduzido na célula hospedeira, se funde ao DNA celular, sendo então expresso através do maquinário bioquímico desta célula. Um dos fármacos mais eficazes para o tratamento da infecção por HSV é o aciclovir, um composto análogo ao nucleosídeo guanosina, conforme o esquema abaixo.

Com base nos mecanismos celulares de expressão e transmissão gênicas, analise as afirmações que se seguem.
O aciclovir, por ser um análogo da guanosina, poderá ser incorporado a uma nova fita de DNA viral durante a sua síntese pela DNA polimerase, interrompendo o crescimento desta nova fita.
PORQUE
a ausência de uma hidroxila que mimetize a hidroxila 3’ da guanosina impede a ligação do nucleotídeo seguinte, evitando, assim, a continuação da síntese da fita de DNA.
A partir da análise, conclui-se que
Provas
Questão presente nas seguintes provas
Gaston Bachelard foi um dos principais epistemologistas do século XX, e suas contribuições ao campo do ensino de Ciências tornaram-se relevantes para o Ensino de Química. Segundo Bachelard, “aprender ciências implica aprender conceitos que constrangem e colocam em crise conceitos da experiência comum”, sendo necessário que “se repense a interpretação do erro no processo ensino-aprendizagem”. A partir do pensamento de Bachelard, considere os parâmetros a seguir para um ensino eficaz de Química no Ensino Básico.
I – O ensino de Ciências, por se contrapor ao senso comum, conduz a um necessário distanciamento das circunstâncias cotidianas.
II – A sucessão de erros manifestada pelos alunos ao longo do processo de aprendizagem corresponde a uma incapacidade dos professores para o ensino de Ciências.
III – Os conceitos elaborados em decorrência do Método Científico são culturalmente superiores, se comparados àqueles originados do senso comum.
IV – Os erros que os alunos apresentam são uma fonte para a compreensão de como ocorre o processo de construção do conhecimento, tendo em vista uma reconstrução de conceitos.
Está(ão) correta(s) APENAS o(s) parâmetro(s)
Provas
Questão presente nas seguintes provas
Cadernos
Caderno Container