Foram encontradas 80 questões.
O Pólo Norte
Nada como um crime 100% monstruoso, desses que elevam para um novo patamar os piores padrões que se podem atingir em matéria de crueldade e selvageria, para descobrir quanta gente fica comovida, no Brasil de hoje, com a sorte dos acusados – e horrorizada com a hipótese de que possa ocorrer alguma falha, por mais duvidosa que seja, na proteção a seus direitos. É o que se está vendo no momento, mais uma vez, com o assassinato da menina Isabella Nardoni, em São Paulo. Para muitos dos mais renomados sábios da nossa ciência jurídica, sobretudo os que se dedicam à advocacia criminal, intelectuais de todas as variedades e até o presidente da República, o foco deixou de estar no crime que foi cometido. O que realmente os preocupa é a “condenação antecipada” dos suspeitos, algo que, a seu ver, estaria ocorrendo no caso. O presidente Luiz Inácio Lula da Silva, especialmente, se mostra angustiado com a possibilidade de que inocentes tenham suas vidas “destruídas”. A única vida realmente destruída, até agora, foi a de Isabella, mas isso parece ser apenas um detalhe menor na história. O verdadeiro problema, nesse modo de ver as coisas, estaria no que os campeões do direito de defesa imaginam ser a condenação “sem julgamento” ou “sem provas” dos acusados – fruto do desejo de “vingança” e de “linchamento” que a exposição intensa do caso na imprensa faz nascer junto a uma população boçal e incapaz de entender os fundamentos do direito penal.
(...)
A verdadeira dificuldade para o casal Nardoni não está na violação de seus direitos. Está, isso sim, no fato de que não surgiu até agora, após quarenta dias de investigação, feita com todos os recursos da polícia e sob o intenso holofote da imprensa, o mais remoto indício de que o crime possa ter sido praticado por alguma outra pessoa. A verdadeira revolta popular, ao mesmo tempo, é contra a impunidade; o temor é que o pai e a madrasta de Isabella, caso culpados, fiquem livres. Trata-se de uma expectativa mais do que justificada pelos fatos. Se homicidas confessos, condenados em júri popular, estão soltos, por que não seria assim outra vez? Por que não, se está solto o médico que esquartejou uma mulher submetida a anestesia e alegou ter agido em legítima defesa? São questões que não entram no debate. Os defensores do casal, quando de boa-fé, argumentam que nada é mais importante do que colocar a lei acima da paixão. Mas pregar de maneira automática e em qualquer circunstância, sejam lá quais forem os fatos, a favor dos direitos dos acusados não contribui para a genuína proteção dos direitos do cidadão; contribui, na prática, para dar conforto aos criminosos.
O problema da Justiça brasileira, hoje, não é a escassez de direitos de defesa; o real problema é o excesso de obstáculos para a punição e o excesso de proteção para os acusados. O Brasil é possivelmente um caso único, em todo o mundo, onde se recomenda, diante do aumento da criminalidade, a redução das penas e o aumento dos benefícios para os criminosos. É algo que talvez faça sentido em lugares como o Pólo Norte, por exemplo, onde não há crime algum; no Brasil atual é simplesmente incompreensível. Não passa pela cabeça dos patronos dessas idéias a existência de alguma relação entre o agravamento da criminalidade e a ausência de punição efetiva para os culpados. Parecem, ao contrário, convencidos de que a saída é punir ainda menos. É muito bom, sem dúvida, para o interesse profissional dos advogados criminalistas e para o bem-estar de seus clientes. Para todos os demais é uma tragédia.
(GUZZO, J. R. Veja, 14 maio 2008.)
Em qual das alternativas abaixo está correta a concordância verbal?
Provas
No sangue, há o seguinte equilíbrio químico: CO2 + H2O !$ \rightleftarrows !$ H+ + HCO3 -. O pH do sangue deve ficar entre 7,35 e 7,45. Quando alguém, em uma crise de ansiedade ou de histeria, respira de modo ofegante, os pulmões perdem muito CO2. O equilíbrio, então, é deslocado para a esquerda, consumindo os íons H+. Isso pode fazer com que o pH suba até aproximadamente 7,7 em poucos minutos (alcalemia sanguínea). Nesses casos, os médicos muitas vezes dão um calmante, para que a respiração volte ao normal. No entanto, esse procedimento nem sempre é eficiente, sendo então necessária uma intervenção radical: injetar uma solução ácida no sangue do paciente. Mas o que se usa é uma solução salina de cloreto de amônio (NH4Cl).
Com base no texto acima e nos conhecimentos de hidrólise de sais, é INCORRETO afirmar que:
Provas
Com o objetivo de separar uma mistura que contém três isômeros da nitroanilina (orto, para e meta), foi utilizada a técnica de cromatografia líquido-sólido, usando sílica como fase estacionária e uma mistura de 40% de CH2Cl2 em hexano como fase móvel e detector de UV.

Com base nas condições apresentadas, assinale a alternativa que contém a ordem de eluição, do primeiro ao último a eluir, dos isômeros:
Provas
O Pólo Norte
Nada como um crime 100% monstruoso, desses que elevam para um novo patamar os piores padrões que se podem atingir em matéria de crueldade e selvageria, para descobrir quanta gente fica comovida, no Brasil de hoje, com a sorte dos acusados – e horrorizada com a hipótese de que possa ocorrer alguma falha, por mais duvidosa que seja, na proteção a seus direitos. É o que se está vendo no momento, mais uma vez, com o assassinato da menina Isabella Nardoni, em São Paulo. Para muitos dos mais renomados sábios da nossa ciência jurídica, sobretudo os que se dedicam à advocacia criminal, intelectuais de todas as variedades e até o presidente da República, o foco deixou de estar no crime que foi cometido. O que realmente os preocupa é a “condenação antecipada” dos suspeitos, algo que, a seu ver, estaria ocorrendo no caso. O presidente Luiz Inácio Lula da Silva, especialmente, se mostra angustiado com a possibilidade de que inocentes tenham suas vidas “destruídas”. A única vida realmente destruída, até agora, foi a de Isabella, mas isso parece ser apenas um detalhe menor na história. O verdadeiro problema, nesse modo de ver as coisas, estaria no que os campeões do direito de defesa imaginam ser a condenação “sem julgamento” ou “sem provas” dos acusados – fruto do desejo de “vingança” e de “linchamento” que a exposição intensa do caso na imprensa faz nascer junto a uma população boçal e incapaz de entender os fundamentos do direito penal.
(...)
A verdadeira dificuldade para o casal Nardoni não está na violação de seus direitos. Está, isso sim, no fato de que não surgiu até agora, após quarenta dias de investigação, feita com todos os recursos da polícia e sob o intenso holofote da imprensa, o mais remoto indício de que o crime possa ter sido praticado por alguma outra pessoa. A verdadeira revolta popular, ao mesmo tempo, é contra a impunidade; o temor é que o pai e a madrasta de Isabella, caso culpados, fiquem livres. Trata-se de uma expectativa mais do que justificada pelos fatos. Se homicidas confessos, condenados em júri popular, estão soltos, por que não seria assim outra vez? Por que não, se está solto o médico que esquartejou uma mulher submetida a anestesia e alegou ter agido em legítima defesa? São questões que não entram no debate. Os defensores do casal, quando de boa-fé, argumentam que nada é mais importante do que colocar a lei acima da paixão. Mas pregar de maneira automática e em qualquer circunstância, sejam lá quais forem os fatos, a favor dos direitos dos acusados não contribui para a genuína proteção dos direitos do cidadão; contribui, na prática, para dar conforto aos criminosos.
O problema da Justiça brasileira, hoje, não é a escassez de direitos de defesa; o real problema é o excesso de obstáculos para a punição e o excesso de proteção para os acusados. O Brasil é possivelmente um caso único, em todo o mundo, onde se recomenda, diante do aumento da criminalidade, a redução das penas e o aumento dos benefícios para os criminosos. É algo que talvez faça sentido em lugares como o Pólo Norte, por exemplo, onde não há crime algum; no Brasil atual é simplesmente incompreensível. Não passa pela cabeça dos patronos dessas idéias a existência de alguma relação entre o agravamento da criminalidade e a ausência de punição efetiva para os culpados. Parecem, ao contrário, convencidos de que a saída é punir ainda menos. É muito bom, sem dúvida, para o interesse profissional dos advogados criminalistas e para o bem-estar de seus clientes. Para todos os demais é uma tragédia.
(GUZZO, J. R. Veja, 14 maio 2008.)
Segundo o texto, é INCORRETO afirmar:
Provas
Assinale a alternativa que apresenta o nome correto dos complexos K2[Ni(I)(OH)(CN)2] e NH4[Cr(Cl)3(OH)(NO)2], respectivamente:
Provas
Em qual alternativa os exemplos apresentados são de sistemas aberto, fechado e isolado, respectivamente?
Provas
A absorção molecular na região do ultravioleta e do visível, depende da estrutura eletrônica da molécula. Com base na técnica apresentada, é INCORRETO afirmar que:
Provas
Para obter-se ferro no estado elementar, os óxidos são reduzidos com carbono, em um processo clássico efetuado em alto-forno, e imediatamente são submetidos a um processo de refinação para retirar as impurezas presentes. A equação a seguir representa este processo:
Fe2O3 (s) + 3 C (s) + 3/2 O2 (g) → 2 Fe (s) + 3 CO2 (g) + energia
No alto-forno ocorrem as seguintes reações:
C(s) + ½ O2 (g) → CO (g) !$ \varDelta !$Hº = - 112,3 kJ
3 Fe2O3 (s) + CO (g) → 2 Fe3O4 (s) + CO2 (g) !$ \varDelta !$Hº = + 401,3 kJ
Fe3O4 (s) + CO (g) → 3 FeO (s) + CO2 (g) !$ \varDelta !$Hº = + 33,40 kJ
FeO (s) + CO (g) → Fe (s) + CO2 (g) !$ \varDelta !$Hº = - 13,80 kJ
Assinale a alternativa que apresenta o valor da variação da entalpia para 0,1 mol de ferro produzido, considerando o tipo de reação que ocorre (endotérmica ou exotérmica):
Provas
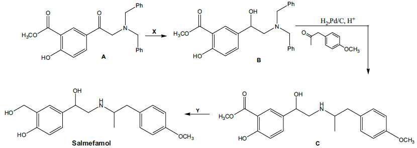
O salmefamol é uma droga antiasmática e apresenta uma estrutura multifuncional. A síntese do salmefamol está apresentada abaixo:

A respeito da síntese proposta, considere as afirmativas a seguir:
I - Estão presentes na molécula do salmefamol, os grupos funcionais éter, amina, álcool e fenol.
II - As conversões do composto A para o composto B (primeira etapa) e do composto C para o salmefamol (terceira etapa) podem ser observadas por espectroscopia no infravermelho, pelo aparecimento de uma banda na região de aproximadamente 1680-1700 cm-1 e o aparecimento de uma banda na faixa de 1710- 1740 cm-1, respectivamente.
III - Os reagentes X e Y correspondem a diferentes agentes oxidantes.
IV - A molécula do composto A contém, entre outros grupos, uma amina terciária e uma cetona.
Estão corretas somente as afirmativas:
Provas
Dentre todas as ferramentas analíticas disponíveis para os cientistas, há uma técnica com maior aplicabilidade, que é capaz de fornecer informação sobre a composição elementar de amostras; as estruturas de moléculas inorgânicas, orgânicas e biológicas; a composição qualitativa e quantitativa de misturas complexas; e sobre as razões isotópicas de átomos nas amostras. Com base no texto acima, a técnica citada é:
Provas
Caderno Container