Foram encontradas 547 questões.

Provas
Provas
e
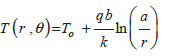
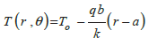
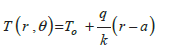
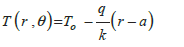
condutividade térmica aProvas
A respeito de fenômenos termodinâmicos, analise as afirmativas a seguir:
I. A pressão manométrica é a magnitude do resultado positivo da diferença entre a pressão absoluta medida pelo dispositivo e a pressão atmosférica local externa ao dispositivo de medida em um sistema.
II. As propriedades que são obtidas pela soma de seus valores das partes, em que o sistema é dividido, são denominadas extensivas, e as que não podem ser adicionadas, nesse mesmo sentido, são chamadas de intensivas.
III. Ciclo termodinâmico é definido como uma sequência de processos que se inicia e termina em um mesmo estado, em que ao final do ciclo todas as propriedades devem apresentar os mesmos valores que elas possuem no início.
Assinale:
Provas
Com relação às definições de painéis de madeira reconstituída, avalie as afirmativas a seguir::
I. compensado: lâminas de madeira sobrepostas em número ímpar de camadas, formando um ângulo de 90° entre as camadas adjacentes.
II. aglomerado: partículas de madeira encoladas normalmente com resina uréia-formaldeído, com distribuição aleatória das partículas e consolidado por prensagem a quente.
III. OSB: partículas longas de formato retangular, encoladas com resinas fenol-formaldeído e, ou, isocianato, orientadas na mesma direção, consolidado por prensagem a quente.
IV. MDF: painéis de fibras de madeira sob média densificação, encoladas normalmente com resina uréiaformaldeído e consolidados por prensagem a quente.
V. Hardboard: painéis de fibras de madeira sob alta densificação, com espessura fina e homogênea, encoladas com resina fenol-formaldeído e consolidados por prensagem a quente.
VI. Waferboard: painel de partículas de formato quadrado ou ligeiramente retangular, encoladas com resina fenolformaldeído, com distribuição aleatória das partículas e consolidado por prensagem a quente.
Assinale:
Provas
Provas
São características relacionadas à vegetação do cerrado:
I. dossel compacto, formado por poucas espécies.
II. presença de muitas espécies higrófilas.
III. inexistência de espécies xerófitas.
IV. árvores e arbustos com troncos tortuosos.
V. troncos revestidos por casca grossa.
VI. plantas com folhas coriáceas ou revestidas por pêlos.
Assinale:
Provas
Provas
Analise as afirmativas apresentadas a seguir, relacionadas à ciclagem de nutrientes em ecossistemas florestais:
I. bactérias do gênero Bradyrhizobium não possuem a capacidade de fixar N, mesmo associadas com leguminosas.
II. nos latossolos do cerrado a lixiviação de fósforo é muito elevada, devido à baixa capacidade de retenção do solo.
III. o N é o principal nutriente perdido por volatilização.
IV. Em termos absolutos, a exploração florestal é o processo que menos remove nutrientes do ecossistema.
V. a circulação de um nutriente no sistema solo-planta iniciase com o processo de absorção.
VI. o retorno de nutrientes via “litter” é de pequena importância no ciclo biogeoquímico.
VII. quando a sua demanda é maior do que o disponível no solo, o fósforo é retranslocado das folhas velhas através do floema.
Assinale:
Provas
Provas
Caderno Container