Magna Concursos

Foram encontradas 70 questões.

2201740 Ano: 2011
Disciplina: Engenharia Eletrônica
Banca: CESGRANRIO
Orgão: Petrobrás
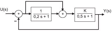
Enunciado 3103401-1
O diagrama em blocos da figura acima mostra um sistema em malha fechada, onde U(s) é o sinal de entrada e Y(s), o sinal de saída. O valor do ganho K, para que os polos da função de transferência !$ large{Y(s) over U(s)} !$ sejam complexos, conjugados e com parte real igual −6,5, é
 

Provas

Questão presente nas seguintes provas
2201739 Ano: 2011
Disciplina: Engenharia Eletrônica
Banca: CESGRANRIO
Orgão: Petrobrás
Enunciado 3103400-1
O gráfico da figura acima corresponde à resposta ao degrau unitário aplicado na entrada de um sistema de 2ª ordem, cuja função de transferência é !$ G(s)=large{16 over s^2+8s+b} !$. Com base nos dados da figura, os polos desse sistema são complexos, conjugados e iguais a
 

Provas

Questão presente nas seguintes provas
2201738 Ano: 2011
Disciplina: Engenharia de Telecomunicações
Banca: CESGRANRIO
Orgão: Petrobrás
Considere as informações a seguir para responder a questão.
O controle de atitude de um satélite em órbita consiste em ajustar, automaticamente, o ângulo de seu eixo, de modo a direcionar sua antena para a região desejada na superfície da Terra. O modelo simplificado desse sistema consta de um sinal de entrada, que é o torque !$ au (t) !$, e de um sinal de saída, que é o ângulo !$ θ (t) !$. Considerando o vetor de estado !$ X(t)= egin{bmatrix} x_1 (t) \ x_2 (t) end{bmatrix} !$ definido com !$ x_1(t)=θ (t) !$, posição angular e !$ x_2(t)= dot{θ} (t)=large{ d θ over dt} !$, a velocidade angular, obtém-se o seguinte modelo em espaço de estado.
!$ dot{X}(t)= egin{bmatrix}0 & 1 \ 0 & 0 end{bmatrix}X(t)+ egin{bmatrix}0 \ 1 end{bmatrix} au(t) !$ e !$ y(t)=egin{bmatrix}1 & 0 end{bmatrix}X(t) !$
Discretizando este modelo, pelo método ZOH, com o período de amostragem T, obtém-se o modelo discreto dado por:
!$ X(k+1)= Phi X(k)+ Γ au(k) !$ e !$ y(k)=CX(k) !$
A matriz !$ Phi !$ é
 

Provas

Questão presente nas seguintes provas
2201737 Ano: 2011
Disciplina: Engenharia de Telecomunicações
Banca: CESGRANRIO
Orgão: Petrobrás
Considere as informações a seguir para responder a questão.
O controle de atitude de um satélite em órbita consiste em ajustar, automaticamente, o ângulo de seu eixo, de modo a direcionar sua antena para a região desejada na superfície da Terra. O modelo simplificado desse sistema consta de um sinal de entrada, que é o torque !$ au (t) !$, e de um sinal de saída, que é o ângulo !$ θ (t) !$. Considerando o vetor de estado !$ X(t)= egin{bmatrix} x_1 (t) \ x_2 (t) end{bmatrix} !$ definido com !$ x_1(t)=θ (t) !$, posição angular e !$ x_2(t)= dot{θ} (t)=large{ d θ over dt} !$, a velocidade angular, obtém-se o seguinte modelo em espaço de estado.
!$ dot{X}(t)= egin{bmatrix}0 & 1 \ 0 & 0 end{bmatrix}X(t)+ egin{bmatrix}0 \ 1 end{bmatrix} au(t) !$ e !$ y(t)=egin{bmatrix}1 & 0 end{bmatrix}X(t) !$
Aplicando uma realimentação de estado, com a lei de controle dada por !$ au(t)=-KX(t)=-egin{bmatrix}k_1 & k_2 end{bmatrix}X(t) !$, o valor do vetor de ganhos K, que conduz os polos em maçha fechada para as posições -2 e -3, é
 

Provas

Questão presente nas seguintes provas
2201736 Ano: 2011
Disciplina: Engenharia Eletrônica
Banca: CESGRANRIO
Orgão: Petrobrás
Um sistema de 2ª ordem é dado pela sua função de transferência !$ G(s)=large{64 over s^2+8s+64} !$. Sabe-se que o tempo de subida, medido sobre a curva de resposta ao degrau aplicado nesse sistema, é dado por !$ T_R=large{pi- Phi over ω_n sqrt{1- ς^2}} !$, onde
!$ ς= cos ( Phi ) !$ é a razão de amortecimento; e
!$ ω_n !$ é a frequência natural não amortecida.
Para discretizar esse sistema e aplicar um controle digital, o período de amostragem deve ser tal que ocorram 10 amostras durante o tempo de subida. O valor aproximado desse período é
 

Provas

Questão presente nas seguintes provas
2201735 Ano: 2011
Disciplina: Engenharia Eletrônica
Banca: CESGRANRIO
Orgão: Petrobrás
Enunciado 3103396-1
O modelo discreto de um sistema, em malha aberta, é representado pela função de transferência !$ G(z)=large{K(z+1) over z^2-1,5z+,05} !$ .
A figura acima mostra o esboço do lugar das raízes, no plano Z, para esse sistema, em malha fechada, com realimentação de saída e com o ganho variando no intervalo !$ 0 le K < + ∞ !$. O circulo unitário está traçado com linha pontilhada. O valor do ganho K, para que o sistema em malha fechada esteja no limiar da instabilidade, é
 

Provas

Questão presente nas seguintes provas
2201734 Ano: 2011
Disciplina: Engenharia Elétrica
Banca: CESGRANRIO
Orgão: Petrobrás
Enunciado 3103395-1
Um sistema discreto de 2ª ordem é composto por dois polos complexos, conjugados, que estão representados no diagrama de polos e zeros da figura acima. O círculo unitário está traçado com linha pontilhada. A resposta ao impulso desse sistema gera um sinal, discreto, senoidal amortecido e que oscila na frequência de 25!$ pi !$ rad/s. Nessas condições, o período de amostragem, em ms, usado na discretização desse sistema, é
 

Provas

Questão presente nas seguintes provas
2201733 Ano: 2011
Disciplina: Engenharia Eletrônica
Banca: CESGRANRIO
Orgão: Petrobrás
Enunciado 3103394-1
A figura acima mostra dois sinais, na forma de pulsos limitados no tempo. Considere que a transformada de Fourier de v(t) é dada pela expressão, na forma polar, !$ V(ω)= leftvert V(ω) ightvert e^{j Phi(ω)} !$. Com base nas propriedades da transformada de Fourier e considerando as semelhanças e simetrias entre os dois pulsos, a expressão da transformada de w(t) é
 

Provas

Questão presente nas seguintes provas
Considere as seguintes distribuições:
Distribuição do número de municípios
segundo faixas da população
Faixas de população
Número de
municípios
Até 5.000 habitantes 1.267
De 5.001 a 20.000 habitantes 2.675
De 20.001 a 100.000 habitantes 1.356
De 100.001 a 500.000 habitantes 229
Mais de 500.000 habitantes 37
Total de municípios 5.564
IBGE. Pesquisa Perfil dos Municípios Brasileiros, 2009. (Dados adaptados)
Enunciado 3099572-1
Sabe-se que 1% dos municípios com mais de 100.000 habitantes não possuem unidades de ensino superior, estádios ou ginásios poliesportivos, nem cinema. Nessa faixa de população, o número de municípios que possuem as três características, é, aproximadamente,
 

Provas

Questão presente nas seguintes provas

Experts Try to Gauge Health Effects of Gulf Oil Spill

Wednesday, June 23, 2010

WEDNESDAY, June 23 (HealthDay News) - This Tuesday and Wednesday, a high-ranking group of expert government advisors is meeting to outline and anticipate potential health risks from the Gulf oil spill - and find ways to minimize them.

The workshop, convened by the Institute of Medicine (IOM) at the request of the U.S. Department of Health and Human Services, will not issue any formal recommendations, but is intended to spur debate on the ongoing spill.

“We know that there are several contaminations. We know that there are several groups of people — workers, volunteers, people living in the area,” said Dr. Maureen Lichtveld, a panel member and professor and chair of the department of environmental health sciences at Tulane University School of Public Health and Tropical Medicine in New Orleans. “We’re going to discuss what the opportunities are for exposure and what the potential short- and long-term health effects are. That’s the essence of the workshop, to look at what we know and what are the gaps in science,” Lichtveld explained.

High on the agenda: discussions of who is most at risk from the oil spill, which started when BP’s Deepwater Horizon rig exploded and sank in the Gulf of Mexico on April 20, killing 11 workers. The spill has already greatly outdistanced the 1989 Exxon Valdez spill in magnitude.

“Volunteers will be at the highest risk,” one panel member, Paul Lioy of the University of Medicine & Dentistry of New Jersey and Rutgers University, stated at the conference. He was referring largely to the 17,000 U.S. National Guard members who are being deployed to help with the clean-up effort.

Many lack extensive training in the types of hazards — chemical and otherwise — that they’ll be facing, he said. That might even include the poisonous snakes that inhabit coastal swamps, Lioy noted. Many National Guard members are “not professionally trained. They may be lawyers, accountants, your next-door neighbor,” he pointed out.

Seamen and rescue workers, residents living in close proximity to the disaster, people eating fish and seafood, tourists and beach-goers will also face some risk going forward, Dr. Nalini Sathiakumar, an occupational epidemiologist and pediatrician at the University of Alabama at Birmingham, added during the conference.

Many of the ailments, including nausea, headache and dizziness, are already evident, especially in clean-up workers, some of whom have had to be hospitalized.

“Petroleum has inherent hazards and I would say the people at greatest risk are the ones actively working in the region right now,” added Dr. Jeff Kalina, associate medical director of the emergency department at The Methodist Hospital in Houston. “If petroleum gets into the lungs, it can cause quite a bit of damage to the lungs [including] pneumonitis, or inflammation of the lungs.”

“There are concerns for workers near the source. They do have protective equipment on but do they need respirators?” added Robert Emery, vice president for safety, health, environment and risk management at the University of Texas Health Science Center at Houston.

Physical contact with volatile organic compounds (VOCs) and with solvents can cause skin problems as well as eye irritation, said Sathiakumar, who noted that VOCs can also cause neurological symptoms such as confusion and weakness of the extremities.

“Some of the risks are quite apparent and some we don’t know about yet,” said Kalina. “We don’t know what’s going to happen six months or a year from now.”

Copyright (c) 2010 HealthDay. All rights reserved.

http://www.nlm.nih.gov/medlineplus/news/fullstory_100305.html,

retrieved on September 9th, 2010.

Based on the information in the text, it is INCORRECT to say that

 

Provas

Questão presente nas seguintes provas