Magna Concursos

Foram encontradas 120 questões.

1 Na coletiva de imprensa que antecedeu o batismo

da P-52, o diretor de Produção e Exploração da PETROBRAS,

Guilherme Estrella, destacou o índice de nacionalização da obra

4 e falou sobre os projetos da empresa.

“A P-52 é um marco na história da PETROBRAS e da

recuperação da capacidade construtiva do setor naval brasileiro.

7 É a primeira plataforma a ser concluída no Brasil após a decisão

do presidente Lula, à época candidato, de que tudo que pudesse

ser construído no Brasil seria feito aqui, a começar pelas

10 plataformas da PETROBRAS. Hoje tornamos isso realidade.

A P-52 é mais uma plataforma que colocamos em operação.

De 2006 até 2011, temos mais de 60 grandes projetos a serem

13 instalados no Brasil. Isso vai nos garantir a sustentação definitiva

da auto-suficiência conquistada em 2005.”

Internet: <www2.petrobras.com.br>.



Em relação ao texto acima, julgue os itens a seguir.

As informações do texto deixam pressuposta a idéia de que a capacidade construtiva do setor naval brasileiro sempre esteve em plena atividade.

 

Provas

Questão presente nas seguintes provas

Nos itens que se seguem, os fragmentos constituem trechos sucessivos de um texto. Julgue-os quanto à correção gramatical.

Também contribuíram decisivamente fatores como o grande impacto social do evento, tanto na criação de empregos na fase de construção da infra-estrutura necessária quanto no envolvimento de vários setores na comercialização de produtos e serviços durante e após o Pan.

 

Provas

Questão presente nas seguintes provas

1 Na coletiva de imprensa que antecedeu o batismo

da P-52, o diretor de Produção e Exploração da PETROBRAS,

Guilherme Estrella, destacou o índice de nacionalização da obra

4 e falou sobre os projetos da empresa.

“A P-52 é um marco na história da PETROBRAS e da

recuperação da capacidade construtiva do setor naval brasileiro.

7 É a primeira plataforma a ser concluída no Brasil após a decisão

do presidente Lula, à época candidato, de que tudo que pudesse

ser construído no Brasil seria feito aqui, a começar pelas

10 plataformas da PETROBRAS. Hoje tornamos isso realidade.

A P-52 é mais uma plataforma que colocamos em operação.

De 2006 até 2011, temos mais de 60 grandes projetos a serem

13 instalados no Brasil. Isso vai nos garantir a sustentação definitiva

da auto-suficiência conquistada em 2005.”

Internet: <www2.petrobras.com.br>.



Em relação ao texto acima, julgue os itens a seguir.

Na expressão "vai nos garantir" (L.13), o uso do pronome no plural indica a inserção, no texto, do autor, do leitor e dos brasileiros em geral.

 

Provas

Questão presente nas seguintes provas

Ao entrar em capacidade máxima de operação, a unidade P-52, que é do tipo semi-submersível, poderá processar 180 mil barris de petróleo e comprimir 9,3 milhões de metros cúbicos de gás natural por dia. Integrante do programa de desenvolvimento do Campo de Roncador, na Bacia de Campos, a P-52 ficará ancorada em uma profundidade de 1.800 metros e será interligada a 29 poços (18 produtores e 11 injetores de água). O escoamento da produção de petróleo e gás natural será feito por dutos submarinos. Idem, ibidem.

Nos item a seguir, os fragmentos constituem trechos sucessivos de um texto. Julgue-os quanto à grafia das palavras e à acentuação gráfica.

O início das operações no Campo de Roncador está previsto para setembro deste ano. Na obra, iniciada em maio de 2004, utilizou-se processo inédito no país e foram gerados 2.500 empregos diretos e 10 mil indiretos.

 

Provas

Questão presente nas seguintes provas

Nos itens que se seguem, os fragmentos constituem trechos sucessivos de um texto. Julgue-os quanto à correção gramatical.

Os objetivos do patrocínio, porém, não se restringe à contribuição para o desenvolvimento do esporte nacional.

 

Provas

Questão presente nas seguintes provas

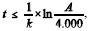
Considere que a produção de óleo cru, em milhares de barris por dia, de uma bacia petrolífera possa ser descrita por uma função da forma Q(t) = Ae-kt , em que A e k são constantes positivas, t é o tempo, em anos, a partir do ano t = 0, que corresponde ao ano de maior produtividade da bacia. Com base nessas informações, julgue os itens a seguir.

Considere que cada barril de óleo cru produzido nessa bacia possa ser vendido por 50 dólares e que as despesas diárias da companhia produtora nessa bacia petrolífera sejam de 200 mil dólares. Com o decréscimo anual de produção, sem que haja decréscimo nas despesas, a partir de determinado ano será inviável continuar a explorar essa bacia. Nessa situação, em todo ano t, tal que Enunciado 2996106-1 , a companhia produtora terá algum lucro nessa bacia.

Questão Anulada

Provas

Questão presente nas seguintes provas

Considerando a função polinomial quadrática Enunciado 2998372-1 no sistema de coordenadas xOy, julgue os itens subseqüentes.

Considere o retângulo que possui um lado sobre o eixo Ox, um dos vértices no ponto de coordenadas (1, 0) e outros dois vértices sobre a parábola. Nesse caso, o perímetro desse retângulo é inferior a 30 unidades de comprimento.

Questão Anulada

Provas

Questão presente nas seguintes provas
2659321 Ano: 2007
Disciplina: Contabilidade Geral
Banca: CESPE / CEBRASPE
Orgão: Petrobrás
Provas:

Com relação às demonstrações contábeis e suas finalidades, julgue os itens subseqüentes.

A demonstração das origens e aplicações de recursos tem por finalidade evidenciar, no âmbito da empresa, em determinado período, as variações internas do capital circulante líquido.

Questão Desatualizada

Provas

Questão presente nas seguintes provas
2659291 Ano: 2007
Disciplina: Contabilidade Geral
Banca: CESPE / CEBRASPE
Orgão: Petrobrás
Provas:

A respeito das reservas de lucros e de reavaliação, julgue os seguintes itens.

Considere que, ao final do exercício, o patrimônio líquido de uma empresa esteja composto, em R$ 1.000,00, como a seguir.

capital social . . . . . . . . . . . . . . . . . . . . . . . . . . . . . . 1.000

reserva de prêmio na emissão de debêntures . . . . . . . . 150

reserva legal . . . . . . . . . . . . . . . . . . . . . . . . . . . . . . . . 200

reserva para aumento de capital . . . . . . . . . . . . . . . . . 120

reserva de contingência . . . . . . . . . . . . . . . . . . . . . . . . 210

Total . . . . . . . . . . . . . . . . . . . . . . . . . . . . . . . . . . . . 1.680

Nessa situação, é correto afirmar que as reservas de lucros somam R$ 530.000,00.

Questão Desatualizada

Provas

Questão presente nas seguintes provas

Ao entrar em capacidade máxima de operação, a unidade P-52, que é do tipo semi-submersível, poderá processar 180 mil barris de petróleo e comprimir 9,3 milhões de metros cúbicos de gás natural por dia. Integrante do programa de desenvolvimento do Campo de Roncador, na Bacia de Campos, a P-52 ficará ancorada em uma profundidade de 1.800 metros e será interligada a 29 poços (18 produtores e 11 injetores de água). O escoamento da produção de petróleo e gás natural será feito por dutos submarinos. Idem, ibidem.

Nos item a seguir, os fragmentos constituem trechos sucessivos de um texto. Julgue-os quanto à grafia das palavras e à acentuação gráfica.

A unidade P-52, cujo custo total foi de cerca de US$ 1 bilhão, foi a primeira a atender aos novos requisitos de nacionalização, com um índice de 76%, e acrescentará 180 mil barris/dia à produção nacional, o que contribuirá para a manutenção da auto-suficiência.

Itens adaptados de Internet: <www2.petrobras.com.br>.

Questão Desatualizada

Provas

Questão presente nas seguintes provas