Foram encontradas 100 questões.
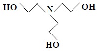
A trietanolamina é um líquido límpido, viscoso e higroscópico, com suave odor amoniacal, muito usado na indústria cosmética e de tintas látex, com função umectante e estabilizadora de pH. Pode ser usada também na fabricação da mostarda de nitrogênio, produto similar ao gás mostarda, de uso militar, razão pela qual sua produção e comercialização no Brasil são controladas pelo exército.
Sua fórmula está representada abaixo:

Sobre a trietanolamina, é incorreto afirmar que (dados: massas atômicas: C=12; O=16; H=1; N=14):
Provas
Assinale a alternativa em que a concordância nominal está incorreta.
Provas
“Insistiu o canoeiro: – Não use esse remo.”
Transpondo o discurso direto acima em discurso indireto, obtém-se:
Provas
Assinale a alternativa em que ocorre erro de regência verbal.
Provas
Leia texto abaixo e responda as questão.
O Pantanal é um imenso território selvagem aonde o turista vai para ver uma sucessão de espetáculos: a explosão da vida animal, a imensidão das águas e até jardins submersos
(Veja, Edição Especial, julho de 2007).
No enunciado “Embora o rio estivesse piscoso, o pescador sucumbiu ao sono, assim que anoiteceu”, os elementos de coesão, representados pelas conjunções grifadas, exprimem sentidos, respectivamente, de:
Provas
Leia texto abaixo e responda as questão.
O Pantanal é um imenso território selvagem aonde o turista vai para ver uma sucessão de espetáculos: a explosão da vida animal, a imensidão das águas e até jardins submersos
(Veja, Edição Especial, julho de 2007).
Assinale a alternativa incorreta.
Provas
No segmento “Fogo, na mata, mata”, os vocábulos grifados exprimem relação de:
Provas
Leia texto abaixo e responda as questão.
A turma do Modelarte transforma garrafas pet em móveis e pufes. As peças estão fazendo tanto sucesso, que uma rede de móveis os colocará à venda nos próximos meses (Época de 24/09/2007).
Assinale a alternativa em que ocorre a mesma relação de sentido indicada pela oração destacada em “As peças estão fazendo tanto sucesso, que uma rede de móveis os colocará à venda nos próximos meses”.
Provas
Leia texto abaixo e responda as questão.
A turma do Modelarte transforma garrafas pet em móveis e pufes. As peças estão fazendo tanto sucesso, que uma rede de móveis os colocará à venda nos próximos meses (Época de 24/09/2007).
A palavra “Modelarte” é formada pelo processo de:
Provas
Assinale a alternativa em que predomina a função referencial da linguagem.
Provas
Caderno Container