Foram encontradas 750 questões.

1. Revisitou estruturas fundamentais da resolução de equações do primeiro grau e sistemas lineares. Utilizou recursos lúdicos, associando à ideia da balança e apresentou uma abordagem mais fundamentada, sem utilizar jargões como “corta e corta” ou “jogue para o outro lado trocando o sinal”.
2. Utilizando ideias de geometria analítica, apresentou uma abordagem gráfica da resolução de sistemas utilizando recursos computacionais. Representou, para finalizar, as superfícies z = x + y; w = xy e v =
De acordo com as ideias de Ball, Thames e Phelps (2008), as estratégias docentes descritas no texto estão associadas, predominantemente, ao
Provas

Provas
- Currículo (Teoria e Prática)
- Planejamento na EducaçãoNíveis e tipos de planejamentoPlanejamento Educacional
- Temas Educacionais Pedagógicos
BAPTISTA, L. R. A.; CARDOSO, F. S. Guia prático para elaboração de plano educacional individualizado para altas habilidades ou superdotação. Disponível em: http://app.uff.br. Acesso em: 23 maio 2025 (adaptado).
Um estudante do 7º ano, identificado com altas habilidades/superdotação (AH/SD), demonstra elevado interesse por Matemática e facilidade com conceitos de frações. A professora, em diálogo com a família e com apoio do AEE, elabora um PEI que respeita o perfil do estudante e valoriza sua autonomia e criatividade.
Qual estratégia está alinhada com os princípios do PEI e da Educação Matemática Inclusiva, conforme descritos no texto?
Provas
Provas
GENZ, F. K.; SILVA, L. D.; SILVA, D. F. O ensino de matemática e a deficiência visual: uma proposta para o ensino dos números complexos. Caminhos da Educação Matemática em Revista, n. 2, 2021 (adaptado).
Considerando os princípios do Desenho Universal para a Aprendizagem (DUA) e os fundamentos da Educação Matemática Inclusiva, qual alternativa representa estratégias de um plano de aula coerente com essas abordagens?
Provas
Ele apresenta a sequência an =
Cada grupo discute e compartilha sua resposta:
Grupo 1: a sequência diverge porque os sinais de an se alternam.
Grupo 2: a sequência tende para o infinito, pois seus termos ficam cada vez maiores.
Grupo 3: a sequência converge para zero, pois seus termos ficam cada vez menores e se aproximam cada vez mais de zero.
Grupo 4: a sequência tem como limite 1, pois a1 = 1 e esse resultado determina os demais valores da sequência.
Qual grupo apresenta a conjectura correta sobre o comportamento dessa sequência?
Provas
Com base nas informações fornecidas, os estudantes devem calcular as dimensões proporcionais e o volume da pirâmide em escala. Qual alternativa representa corretamente essas medidas da maquete?
Provas
Provas
Provas
Considerando as dificuldades dos estudantes no processo de aprendizagem da resolução de equações do segundo grau, uma professora de Matemática resolveu utilizar-se da História da Matemática. Para isso, ela apresentou o trecho, a seguir, de um livro que indicava como Al-Khwarizmi resolvia esse tipo de equação.
Um quadrado mais dez raízes do mesmo é igual a trinta e nove. Qual é o quadrado?
A solução é a seguinte:
• Tome metade do número de raízes, obtendo cinco.
• Isto é multiplicado por si mesmo. O produto será vinte e cinco.
• Adicione isto a trinta e nove. A soma é sessenta e quatro.
• Tome então a raiz quadrada disso, que é igual a oito.
• Subtraia disto a metade do número de raízes que é cinco. A diferença é três.
• Esta é a raiz do quadrado procurado e o próprio quadrado é nove.
BEKKEN, O. Equações de Ahmes até Abel. Rio de Janeiro: Universidade Santa Úrsula, 1994.
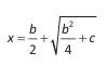
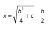
Após conhecer a forma como Al-Khwarizmi resolvia as equações do segundo grau, um estudante disse:
“Professora! Eu fui acompanhando aqui e percebi que é muito diferente. A parte que fica dentro da raiz não é igual à fórmula que a senhora ensinou. Mas mesmo assim deu o mesmo resultado”.
Al-Khwarizmi queria encontrar os valores desconhecidos para uma equação, que na notação atual é representada por x2 + bx = c. Assim, o valor de x é determinado de acordo com o processo descrito pela seguinte expressão:
Provas
Caderno Container