Foram encontradas 441 questões.
Uma força de módulo F atua, segundo um ângulo de 53°, sobre a superfície de uma viga horizontal metálica em balanço. Portanto, essa força pode ser decomposta em suas componentes ortogonais, uma no eixo X (eixo horizontal), paralelo ao comprimento da viga, e outra no eixo Y (eixo vertical), perpendicular ao seu comprimento. Assim sendo, as componentes dessa força que atuam paralela e perpendicularmente ao comprimento da viga têm por módulos, respectivamente, os valores de
Provas
Todos os trabalhadores que estão envolvidos em atividades relativas ao armazenamento e/ou transporte de explosivos fazem jus ao recebimento de um valor monetário adicional. Essas atividades são ditas
Provas
As correntes de sobrecarga e de curto-circuito são danosas às instalações elétricas. Existe, porém, um dispositivo capaz de garantir a proteção contra ambas as correntes. Tal dispositivo denomina-se
Provas
Ligas de magnésio, zinco ou alumínio são utilizadas para a fabricação de anodos de sacrifício que são parte integrante de uma técnica de combate à corrosão, denominada proteção
Provas
Os motores elétricos não permanecem ligados o tempo todo. Assim, a Norma Brasileira de motores elétricos estabeleceu os regimes de serviços para os quais os motores devem ser empregados. Esses regimes estão representados graficamente abaixo, onde o primeiro corresponde à grandeza (Potência) versus o tempo de circulação da carga ligada; o segundo, às perdas que aparecem quando do funcionamento, e o terceiro, à elevação de temperatura que ocorre devido às perdas. O regime de serviço representado corresponde ao

Provas
Nos transformadores de potência utilizados em unidades industriais, com potência nominal menor que 1000 kVA, deve ser considerada proteção contra sobrecarga. Essa proteção é dada por relé térmico e/ou dispositivo térmico (imagem térmica) conforme nomenclatura de relés, a qual corresponde um valor numérico. Para os relés em questão, relé térmico e dispositivo térmico (imagem térmica), seus valores numéricos são, respectivamente,
Provas


Para o desenho padrão de montagem para um transformador de distribuição em poste, recebendo rede aérea de alta tensão e fornecendo rede em baixa tensão subterrânea, deve ser identificado o item 20 marcado no desenho acima, que corresponde a
Provas

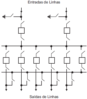
A representação mostrada acima corresponde a um tipo de barramento para subestação de energia. De acordo com a classificação de arranjos de barramentos para subestações e a sua manutenabilidade, este é um arranjo de barramento
Provas
A oficina de uma indústria possui dimensões iguais a 20 m de largura, 25 m de comprimento e 12 m de altura. Nesse local estão instaladas 50 luminárias industriais, cada uma contendo uma lâmpada multivapor de potência elétrica ativa nominal igual a 400 W que apresenta fluxo luminoso igual a 36.000 lúmens. As luminárias estão montadas no tipo pendente, afastadas do teto de 1,5 m. Essas luminárias apresentam comprimento igual a 50 cm. Como esse ambiente apresenta poeira em suspensão, o fator de depreciação das luminárias é igual a 0,2. Devido a ser elevada a altura do foco da luminária em relação ao piso acabado da oficina, o fluxo luminoso que incide sobre o plano de trabalho ( !$ ∅ !$ 2) é igual a 1, e o fluxo luminoso emitido pela lâmpada ( !$ ∅ !$ 1) é igual a 2, de maneira que o fator de utilização da luminária corresponde à relação entre o fluxo luminoso no plano de trabalho e o fluxo luminoso emitido pela lâmpada. Utilizando o método dos lúmens médios, o nível de iluminância (E) desta oficina será
Provas

O desenho acima é a vista superior da cobertura em uma edificação, onde será instalado um captor tipo Franklin sobre um mastro, o qual terá sua base fixada na cobertura da edificação. De acordo com a NBR 5419 – Sistemas de Proteção Contra Descargas Atmosféricas, o Nível de Proteção para esta instalação é III, acarretando, em função de sua altura, um ângulo de proteção igual a 45°. Nessas condições, a altura (h) do mastro do captor, em metros, para garantir uma proteção no vértice de encontro dos lados da cobertura, será h =
Provas
Caderno Container