Foram encontradas 441 questões.

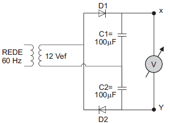
O circuito apresentado na figura acima é composto de elementos ideais. Supondo-se que o secundário do transformador apresente uma tensão eficaz de 12 Vef, o valor da tensão no par de terminais X e Y, mostrado no circuito e medido pelo voltímetro V, será igual a
Provas

Um eletricista precisa conhecer a potência reativa total (trifásica) de uma carga trifásica equilibrada ligada em estrela (Y), cuja impedância é desconhecida e está conectada à rede trifásica local. Dispondo-se de dois wattímetros, monta-se o circuito mostrado acima. A medida do wattímetro 1 é W1 = 835 W e a do wattímetro 2 é W2 = 5374 W. De posse apenas dessas duas medidas, a potência reativa total da carga, QTotal, será
Considere !$ \sqrt3=1,73 !$
Provas

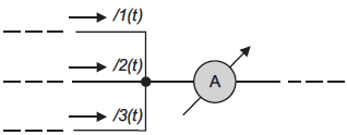
I1(t) = 25 sen(10t + 45°)
I2(t) = 25 sen(10t − 75°)
I3(t) = 25 sen(10t − 195°)
A figura acima representa um trecho de um circuito elétrico de corrente alternada monofásico, no qual se destaca um nó genérico. As expressões de I1(t), I2(t) e I3(t) são fornecidas acima. A leitura do amperímetro A, calibrado para medir valor eficaz da senoide será
Provas
O símbolo abaixo, contido na Norma NBR 8190 - Símbolos de Instrumentação, representa o desenho do corpo de uma válvula de controle, sendo muito usado nos diagramas de instrumentação.

Com base nesses dados, o corpo de válvula representado é
Provas
Disciplina: Segurança e Saúde no Trabalho (SST)
Banca: CESGRANRIO
Orgão: PQS
“A Comissão Interna de Prevenção de Acidentes (CIPA) tem como objetivo a prevenção de acidentes e doenças decorrentes do trabalho, de modo a tornar compatível permanentemente o trabalho com a preservação da vida e a promoção da saúde do trabalhador.”
Essa afirmativa refere-se ao objetivo da CIPA. Para que tal objetivo seja alcançado, a CIPA deve ser composta por representantes do(a)
Provas
Para o combate ao fogo, há sistemas como sprinklers (chuveiros automáticos) e hidrantes. Existem também os extintores de incêndio portáteis para combater o fogo em seu início. Dentre os tipos de extintores portáteis existentes, citam-se os do tipo água-gás, que devem ser usados em fogos
Provas
Suponha que esteja sendo analisado o fluxograma de processo de uma planta petroquímica e que, à parte do fluxograma, encontra-se uma tabela que contém valores de vazão. Dois desses valores são: 1,43 m3/s e 18,34 kg/min. Esses dois valores de vazão, na ordem em que estão escritos, referem-se, respectivamente, às vazões
Provas
A massa de um corpo é a razão entre a força que age sobre ele e a aceleração que o corpo adquire. No Sistema Internacional (SI), a unidade de massa é dada em
Provas
“Todo corpo mergulhado em um líquido fica submetido à ação de uma força vertical denominada empuxo, orientada de baixo para cima, de módulo igual ao peso do líquido deslocado, cujo suporte passa pelo ponto onde se encontrava o centro de gravidade do líquido deslocado.”
Esse enunciado é o teorema de:
Provas
As metas atuais da manutenção industrial são disponibilidade e confiabilidade. Para alcançar tais fins, exige-se o gerenciamento da atividade, com planejamento e controle da manutenção. Com o intuito de controlar, foram introduzidos diversos indicadores gerenciais de desempenho, tais como: disponibilidade operacional, custo da manutenção, TMPF (MTTF), TMPR (MTTR).
Para monitorar o acúmulo de ordens de serviço em aberto, criou-se um indicador que mede o tempo de trabalho da equipe de manutenção visando a concluir todos os serviços pendentes, até então registrados, com toda a sua força de trabalho. Tal indicador de desempenho é denominado
Provas
Caderno Container