Foram encontradas 60 questões.
Admitindo que as proposições p e q são verdadeiras e que a proposição r é falsa,
determine o valor (V ou F) de cada proposição abaixo.
( ) p → r ( ) p ↔ q ( ) p → (q v r) ( ) (~p v r) ↔ q
A ordem correta de preenchimento dos parênteses, de cima para baixo, é:
( ) p → r ( ) p ↔ q ( ) p → (q v r) ( ) (~p v r) ↔ q
A ordem correta de preenchimento dos parênteses, de cima para baixo, é:
Provas
Questão presente nas seguintes provas
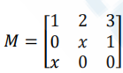
Analise a seguinte matriz, sabendo que x é um número real, e assinale a alternativa correta.

Provas
Questão presente nas seguintes provas
Uma escola rural recebeu uma doação de 2.592 kits de merenda escolar, suficientes
para alimentar diariamente os estudantes matriculados durante 36 dias. No entanto, com a matrícula
de mais 24 alunos vindos de uma escola próxima, a direção precisará redistribuir os kits entre todos.
Considerando essa nova realidade, por quantos dias os kits serão suficientes?
Provas
Questão presente nas seguintes provas
Na figura abaixo, ABC é um triângulo cujos lados AB e AC medem, respectivamente,
12 cm e 6 cm. Nessas condições, qual é (em cm) a medida do lado do losango ADEF?


Provas
Questão presente nas seguintes provas
Seja f(x) = ax2 + bx + c uma função real cujo gráfico é uma parábola cujo vértice é
localizado em (2, -1) e que passa pelo ponto (0,3), qual é o valor de a + b – c?
Provas
Questão presente nas seguintes provas
Uma empresa vai ordenar as letras da palavra VIAMAO para compor um arranjo
gráfico. Sabendo que todas as letras serão usadas e que a letra A aparece duas vezes, de quantas
maneiras diferentes é possível organizar essas letras?
Provas
Questão presente nas seguintes provas
Uma empresa de tecnologia possui 25 colaboradores cujo salário médio é de
R$ 7.000,00. Os quatro funcionários da área administrativa recebem, em média, R$ 8.500,00, e os
nove analistas de suporte têm média salarial de R$ 6.000,00. Os demais funcionários atuam como
desenvolvedores e designers. Qual é a média salarial (em R$) dos desenvolvedores e designers?
Provas
Questão presente nas seguintes provas
Considerando que sen(x) = 5/13 e que x está no primeiro quadrante, qual é o valor
de cos(x)?
Provas
Questão presente nas seguintes provas
Em um grupo de 100 pessoas, 63 assistem ao canal A, 44 assistem ao canal B e
23 assistem a ambos. Quantas pessoas não assistem nenhum dos canais?
Provas
Questão presente nas seguintes provas
A maioria das coisas com que me preocupei nunca aconteceram
Por Martha Medeiros

(Disponível em: https://gauchazh.clicrbs.com.br/donna/colunistas/martha-medeiros/noticia/2025/07/amaioria-das-coisas-com-que-me-preocupei-nunca-aconteceu – texto adaptado especialmente para esta prova).
Provas
Questão presente nas seguintes provas
Cadernos
Caderno Container