Foram encontradas 60 questões.
Durante o surto de uma doença respiratória em certa
cidade, observou-se nos registros epidemiológicos que 3 pessoas
adoeceram na primeira semana, outras 9 pessoas na segunda
semana e outras 27 pessoas na terceira semana. Seguindo essa
mesma lógica, o número de doentes aumentou semanalmente, até
que, na oitava semana do surto, 16% da população da cidade já
havia ficado doente.
A partir das informações fornecidas na situação hipotética precedente, é correto inferir que a cidade em questão possui
A partir das informações fornecidas na situação hipotética precedente, é correto inferir que a cidade em questão possui
Provas
Questão presente nas seguintes provas
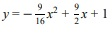
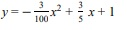
Certo bombeiro, ao combater um incêndio, lançou um jato
de água cuja trajetória é parabólica. Sabe-se que a mangueira foi
segurada a 1 metro de altura e que a altura máxima que o jato de
água pode atingir é de 10 metros, a 4 metros de distância do
bombeiro.
A partir das informações fornecidas na situação hipotética precedente, assinale a opção que corresponde à equação da trajetória parabólica do jato de água, em que y denota a altura do jato em relação ao solo e x, a distância do jato em relação ao bombeiro, ambos em metros.
A partir das informações fornecidas na situação hipotética precedente, assinale a opção que corresponde à equação da trajetória parabólica do jato de água, em que y denota a altura do jato em relação ao solo e x, a distância do jato em relação ao bombeiro, ambos em metros.
Provas
Questão presente nas seguintes provas
Assinale a opção que corresponde ao domínio real da função f (x)= log2 (x) x log2 ( x -3 ).
Provas
Questão presente nas seguintes provas
Considerando um triângulo ABC, tal que
e
, assinale a opção que corresponde ao comprimento do
segmento 
Provas
Questão presente nas seguintes provas
Assinale a opção que corresponde à equação que descreve o
plano paralelo ao plano P1: 2x + y + 2z = 2 e que está a
5 unidades de distância de P1.
Provas
Questão presente nas seguintes provas
Assinale a opção que apresenta corretamente o conjunto de todos
os valores reais de m para que o sistema linear abaixo tenha uma
única solução.
mx + 2m2y = 2 - x +3y = 1
mx + 2m2y = 2 - x +3y = 1
Provas
Questão presente nas seguintes provas
Em uma turma do 7.º ano do ensino fundamental, o professor propôs uma atividade em que os estudantes deveriam
desenvolver um programa que armazenasse um cadastro de grupos de pessoas, com os dados de nome, telefone e data de nascimento
(dia, mês, ano), e realizasse consultas, como identificação das pessoas cadastradas que fazem aniversário em determinado mês.
De acordo com o documento complementar à BNCC no tocante à computação (BNCC Computação), a atividade proposta pelo professor nessa situação hipotética atende ao eixo denominado
De acordo com o documento complementar à BNCC no tocante à computação (BNCC Computação), a atividade proposta pelo professor nessa situação hipotética atende ao eixo denominado
Provas
Questão presente nas seguintes provas
Segundo a BNCC, existem diferentes dimensões que
caracterizam a computação e as tecnologias digitais, tematizadas
tanto no que diz respeito a conhecimentos e habilidades quanto a
atitudes e valores. Com base nas disposições da BNCC, assinale
a opção correta.
Provas
Questão presente nas seguintes provas
- Tecnologias Educacionais
- Temas Educacionais Pedagógicos
- As Tecnologias da Comunicação e Informação nas Práticas Educativas
Em 2024, o Ministério da Educação publicou o Referencial de
Saberes Digitais Docentes, um documento que auxilia os
professores a utilizarem as tecnologias digitais nos processos de
ensino e aprendizagem do ensino fundamental e do ensino médio.
À luz desse referencial, assinale a opção correta de acordo com
os níveis de desenvolvimento descritos no referido documento.
Provas
Questão presente nas seguintes provas
A cidadania digital vai além do simples uso de computadores e
dispositivos móveis. Ela envolve o conhecimento e a prática de
comportamentos éticos, seguros e responsáveis no ambiente
virtual. Nesse sentido, considera-se uma boa prática de cidadania
digital
Provas
Questão presente nas seguintes provas
Cadernos
Caderno Container